![]()
La sub-estructura del halo y la búsqueda de la materia oscura
Por Javier Coronado Blázquez (Investigador Predoctoral en el IFT UAM-CSIC) y Miguel Ángel Sánchez Conde (Investigador del Programa Atracción de Talento)
Durante los últimos 40 años se han diseñado diferentes estrategias de búsqueda de materia oscura, aunque todas han resultado infructuosas de momento. Sin embargo, en todo este tiempo el conocimiento sobre sus propiedades a gran escala y cómo afecta a la formación y evolución de galaxias ha evolucionado enormemente. El problema surge cuando intentamos comprender la escala más pequeña, una región donde las simulaciones no tienen la suficiente resolución y las observaciones resultan demasiado confusas debido a nuestra propia galaxia. Una de las claves para avanzar en este campo reside en la caracterización de la sub-estructura del halo de materia oscura.
Predicciones del paradigma LCDM y las estrategias de búsqueda
El modelo cosmológico más preciso y exitoso es el llamado LCDM (Lambda Cold Dark Matter), que incluye una constante cosmológica para dar cuenta de la expansión acelerada del Universo y una forma de materia que no interactúa eléctricamente (oscura) y es fría (no relativista). En esta teoría, las estructuras se forman en un escenario “bottom-up”, es decir, colapsando las más pequeñas primero y creciendo por la acrección y fusión de estructuras menores. Una alternativa es la llamada “Hot Dark Matter” (actualmente descartada) que predice lo contrario, una formación de estructura en la que las más grandes se forman primero y luego se fragmentan en objetos menores. La llamada “Warm Dark Matter” intenta reconciliar ambos escenarios, aunque actualmente también está en entredicho.
El modelo LCDM predice dos cosas. En primer lugar, la existencia de un halo de materia oscura alrededor de nuestra galaxia, que ha colapsado antes que la materia ordinaria y actúa de pozo gravitacional para la misma. Este halo se extiende mucho más allá de los límites luminosos de nuestra galaxia, y es el responsable de las anómalas curvas de rotación de las estrellas que se observan en todas las galaxias espirales.
En segundo lugar, predice la existencia de subhalos, es decir, agregaciones de materia oscura más pequeñas que el halo. Dicho de otro modo, el halo no es perfectamente homogéneo, sino que tiene una distribución discreta, como burbujas en un fluido, de distinto tamaño y propiedades. Un ejemplo de subhalo son las galaxias esferoidales enanas que rodean la Vía Láctea, como Draco o Fornax, conocidas como galaxias satélite. Cuando uno de estos subhalos es muy poco masivo, por debajo aproximadamente de 10 millones de masas solares, no posee el suficiente campo gravitatorio como para retener materia ordinaria, es decir, no consigue retener gas y por tanto estrellas, y esperamos que sean completamente oscuros.
Existen principalmente tres métodos para la búsqueda de materia oscura: producción, detección directa y detección indirecta. El método de producción se hace en aceleradores de partículas, como el LHC, donde se espera que colisionar partículas conocidas a altas energías pueda producir partículas de materia oscura. En la detección directa se busca un pequeño retroceso en núcleos atómicos al colisionar con una partícula de materia oscura incidente.
Una variante de este último método es la llamada modulación anual, producida por el distinto flujo esperado de partículas en distintos momentos de la órbita de la Tierra alrededor del Sol: durante media órbita vamos solidariamente al flujo de partículas de materia oscura (“nadamos con el río”), y en la otra mitad en el sentido opuesto (“nadamos a contracorriente”). Esto ha sido detectado por el experimento DAMA/LIBRA en una señal que lleva durando años, pero las propiedades que predicen para la partícula de materia oscura están en contradicción con otros experimentos, ya que se espera una naturaleza universal de la misma. Actualmente el experimento ANAIS, sito en Canfranc, espera poder reproducir las condiciones exactas DAMA/LIBRA para discernir si es una señal real.
Finalmente, el método de detección indirecta se basa en la detección de partículas como subproducto de aniquilación de partículas de materia oscura, en el llamado modelo WIMP (de sus siglas en inglés, Weakly Interacting Massive Particle). Alguno de los subproductos son antipartículas, neutrinos y rayos gamma, siendo estos últimos considerados los mejores, por ser más fáciles de detectar que los neutrinos y no ser desviados por los campos magnéticos como las antipartículas.
Es uno de los métodos más prometedores, porque al fin y al cabo la evidencia de la materia oscura es puramente astrofísica. Muchos telescopios de rayos gamma actualmente están buscando indicios de estas partículas, como el telescopio espacial Fermi-LAT, que trabaja en el régimen de altas energías o los llamados IACTs (de sus siglas en inglés Imaging Air Cherenkov Telescopes) terrestres como MAGIC, HESS o VERITAS, en el régimen de muy altas energías.

Aunque muchos de los subhalos poco masivos no tengan la suficiente masa como para retener estrellas y brillar, en el modelo WIMP se puede producir la aniquilación de estas partículas en partículas del modelo estándar, como quarks o bosones. Como subproducto de este proceso, al final se producen fotones que, debido a su gran energía, son rayos gamma, la radiación más violenta del Universo, que sólo se puede producir en los llamados procesos no térmicos, es decir, por interacciones fundamentales entre partículas.
Desde hace años se busca la señal de uno de estos subhalos oscuros, que se verían como una fuente de rayos gamma puntual y estable, puede que con cierta extensión angular. La física de partículas subyacente predice cómo sería el espectro según la partícula a la que se aniquilaran en estos WIMPs, y se puede intentar ajustar estos espectros teóricos a los datos recogidos por los telescopios mencionados. Lamentablemente, de momento la búsqueda no ha resultado exitosa, pero se siguen poniendo límites cada vez más fuertes a este modelo, y con el volumen creciente de datos de telescopios como Fermi-LAT y la llegada de CTA (Cherenkov Telescope Array) se espera poder probar todo el espectro de masas WIMP (aproximadamente 1 GeV-10 TeV).
La sub-estructura de los halos y los problemas de LCDM
Uno de los puntos más controvertidos actualmente sobre las características de estos subhalos es la llamada “relación masa-concentración”. La concentración de un subhalo da cuenta, en primera aproximación, de cómo de denso es, cómo de “concentrado” está. Con las simulaciones cosmológicas, de las que hablaremos en breve, que resuelven los subhalos más masivos, podemos ver cómo esta relación es una ley de potencias, es decir, una recta. Tradicionalmente se ha extrapolado esta recta a las masas más bajas, pero recientemente muchos trabajos apuntan a que esta relación se “aplana” a bajas masas, como se ve en la siguiente figura.

Esto resulta vital en búsquedas de aniquilación de materia oscura, ya que la sub-estructura imprime una amplificación a la señal esperada, puesto que la aniquilación es proporcional al cuadrado de la densidad, por lo que distribuciones “grumosas” o más densas de materia oscura darán un aumento del flujo. Este factor de amplificación, o “boost”, debe ser incluido en los cálculos del flujo de aniquilación esperada, y depende del modelo de subestructura que se asuma.
Otro punto polémico es la supervivencia de estos subhalos de baja masa. Debido a fuerzas de marea provocadas por el campo gravitatorio de la galaxia, los subhalos pueden perder sus capas más externas, dejando sólo el núcleo más denso (o concentrado) interior. Sin embargo, hay autores que defienden que estos subhalos, sobre todo los más cercanos al centro galáctico, son destruidos por estas fuerzas de marea y no sobreviven. Actualmente no hay consenso en este punto y serán necesarios años de investigación que aclaren qué postura es la correcta.
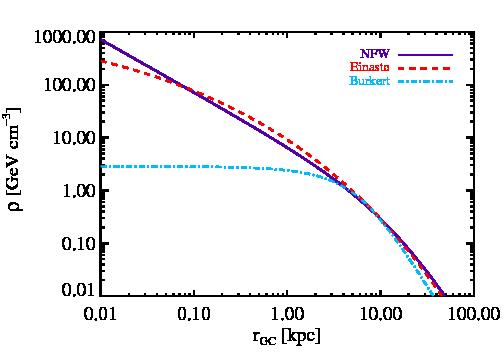
Muchas de las incertidumbres de la sub-estructura del halo viene del perfil de densidad (cómo está distribuida la materia oscura en la galaxia) que se asuma. Desde que se propuso en 1996, el perfil NFW (Navarro-Frenk-White) ha sido uno de los más usados por su simplicidad, aunque existen otras alternativas como los perfiles Burkert o Einasto (ver figura 3). Según el perfil, la distribución de los subhalos variará, así como la posible supervivencia de los mismos, en función del perfil empleado. Por ejemplo, el perfil NFW predice un “cusp”, es decir, una zona de muy alta densidad en el centro de la galaxia, mientras que otros perfiles predicen un “core”, un núcleo más suave con respecto a las zonas más externas, y ahora mismo no está completamente claro cuál es el correcto, ya que las observaciones no son lo suficientemente precisas y las simulaciones hidrodinámicas, que comienzan a tener en cuenta los efectos bariónicos (procesos de “feedback” en los que se devuelve material al medio, por ejemplo en supernovas, acreción de material, etc), ofrecen resultados contradictorios entre distintos grupos de investigación. Esto es debido a que son mucho más complejas de realizar, ya que se debe trazar la evolución de ambas componentes de materia y sus interacciones.

Simulaciones cosmológicas para reproducir el Universo
Una herramienta esencial para comprender la física de la materia oscura son las simulaciones cosmológicas de N-cuerpos. En estas simulaciones por ordenador, dadas unas condiciones iniciales, se ponen millones de partículas y se dejan evolucionar atendiendo a toda la física que conocemos. Al evolucionar 13.7 miles de millones de años (la edad del Universo), el resultado de la simulación debería ser casi idéntica a nuestra galaxia (o nuestro Universo, dependiendo de la escala de la simulación). En https://auriga.h-its.org/movies.html pueden verse vídeos de una de las últimas simulaciones cosmológicas. Cambiando las condiciones iniciales o las propiedades de la materia oscura el resultado puede ser muy diferente.
Hay que tener en cuenta que la resolución de las simulaciones de escala galáctica es muy limitada, y a pesar de ejecutarse durante meses en superordenadores, incluso en la simulación más potente en la actualidad cada partícula de la simulación representa unas 1000 masas solares, de forma que sólo se pueden identificar halos o subhalos con una masa superior al millón de masas solares. Por tanto, predecir lo que pasa a escalas mucho más pequeñas resulta muy difícil.
El avance de la cosmología observacional también impulsa a este campo, ya que se están produciendo las primeras simulaciones con los últimos parámetros cosmológicos obtenidos por la sonda Planck en 2014. Uno de los problemas ya resueltos fue el de los “satélites perdidos”, ya que LCDM predecía la existencia de muchas galaxias enanas que no se observaban. Sin embargo, con nuevos telescopios como el DES (Dark Energy Survey) se han descubierto decenas de ellas en apenas unos años: simplemente son galaxias muy débiles y por tanto difíciles de detectar.
Aún con ello, sigue existiendo el problema de la “temperatura” de la materia oscura (que tiene que ver con su velocidad), es decir, si es caliente, templada o fría. Las observaciones actuales prefieren la materia oscura fría (CDM), aunque la opción templada (WDM) sigue aún en debate. El efecto es una menor sub-estructura, cuyos exponentes más masivos son las galaxias satélites y por tanto se esperarían menor número de satélites, como puede verse en la siguiente figura.

En estos últimos años se han propuesto nuevos tests para confirmar o poner en jaque el modelo cosmológico estándar. Dos de ellos relacionados con la sub-estructura son el lensing y las corrientes estelares.
El lensing es un fenómeno predicho por Einstein en su Relatividad General, en el cual la luz se desvía por la presencia de un campo gravitatorio muy intenso cercano. En particular, en el caso de la materia oscura actúa como lente gravitacional, distorsionando y ampliando las imágenes como si miráramos a una lupa lejana. Midiendo cuidadosamente estas distorsiones, se puede medir la distribución de masa que lo está produciendo. Dado que LCDM predice una gran cantidad de subhalos que producirían este fenómeno, en forma de subestructura en el brillo superficial de los anillos de Einstein que se observan, a lo largo de los próximos años se podrá comprobar si las predicciones de este modelo cosmológico y observaciones están de acuerdo.

Los stellar gaps son zonas de baja densidad de estrellas en las llamadas corrientes estelares (stellar streams), producidas tras la ruptura de la galaxia satélite debido a fuerzas de marea tan intensas en la Galaxia, dejando un rastro de las estrellas del satélite, como si estuvieran pintadas de un brochazo. Esto sólo ocurre de forma tan drástica en aquellos casos en los que la órbita del satélite es muy radial. Al atravesar otros subhalos menores esta corriente, se deberían producir agujeros o zonas de menor densidad estelar. Con el nuevo survey del satélite Gaia, que recientemente ha liberado su segundo set de datos, se podrá elaborar un nuevo test para LCDM.
En resumen, las implicaciones de la subestructura resultan esenciales en la búsqueda de materia oscura, y al estar en la era de la cosmología de precisión, puede proponer tests para poner a prueba, puede que definitivamente, todo lo que creemos saber sobre el Universo.
Muy interesante el artículo 🙂
La CDM predice, por ejemplo, un mayor número de galaxias satélites. Cierto es que los proyectos de CDM han recibido durante décadas una gran cantidad de dinero.