![]()
A la búsqueda de materia oscura en galaxias enanas irregulares con el telescopio Fermi-LAT
Por Viviana Gammaldi (Investigadora Postdoctoral en el IFT UAM-CSIC)
Hace casi un siglo, salieron a la luz los primeros indicios astrofísicos que apuntaban a la existencia de una nueva física: la interacción gravitacional no podía describir la cinemática de los objetos extra-galácticos. La brecha entre la teoría y la observación podría explicarse, tanto a escala astrofísica como cosmológica, asumiendo la existencia de un nuevo tipo de materia no luminosa, que interactúa de forma gravitacional, es decir, la Materia Oscura (DM, por el inglés “Dark Matter”). Actualmente, se ha estimado que la DM represente el 27% del contenido total del Universo, aunque su naturaleza aún se desconoce. Entre otros, la partícula masiva débilmente interactiva (WIMP, por el inglés “Weakly Interacting Massive Particles”) representa un candidato plausible mas allá del modelo estándar (SM, por el inglés “Standard Model”) de la física de partículas. La partícula WIMP puede aniquilarse en objetos astrofísicos produciendo partículas de SM, cuyos procesos de desintegración generan flujos secundarios de rayos gamma, entre otros flujos detectables. La búsqueda de señales de DM en flujos secundarios producidos en fuentes astrofísicas es lo que llamamos búsquedas indirectas de DM.
Recientemente, en colaboración con el grupo de Astrofísica y Cosmología de la Scuola Internazionale di Studi Avanzati (SISSA, https://www.sissa.it) en Trieste, Italia, se han propuesto las galaxias irregulares enanas como fuentes astrofísicas de interés para búsquedas indirectas de DM [1]. De hecho, son objetos astrofísicos dominados por DM, con un fondo astrofísico insignificante en rayos gamma.
Sin embargo, las galaxias irregulares enanas también representan un laboratorio interesante desde el punto de vista de la distribución de la DM.
De hecho, aunque las curvas de rotación de las galaxias espirales han sido la primera evidencia observable de la existencia de DM, todavía hay mucho que aprender sobre la distribución de DM en las galaxias. A partir de la cosmología LCDM de referencia y la simulación de solo DM de N-body, sabemos que la distribución de DM generalmente sigue el conocido perfil de Navarro-Frenk-White (NFW), es decir, un perfil con una «cúspide» en el centro de grandes estructuras.
Por otro lado, los datos experimentales de las curvas de rotación de objetos más pequeños, apuntan al perfil de distribución de DM “plano”. La razón de tal discrepancia aún se desconoce y representa el llamado problema cúspide/plano (“cuspy/core problem”), una cuestión abierta en física, astrofísica y física de partículas. Las galaxias enanas irregulares son de hecho un ejemplo de los objetos en los que se observa el problema cúspide / plano.
En el trabajo [2], desarrollado en colaboración con el grupo DAMASCO (DArk Matter, AStroparticles and COsmology research group @ Madrid Autonomous University, https://projects.ift.uam-csic.es/damasco/), analizamos las curvas de rotación de 7 galaxias irregulares enanas (ver, por ejemplo, la curva de rotación de la galaxia IC10, Fig.1) y siendo agnósticos sobre el problema de la cúspide / plano. El perfil plano de Burkert (línea azul continua) corresponde al mejor ajuste de las curvas de rotación. En cambio, el perfil cúspide NFW se ha construido teóricamente, se ha creado la curva de rotación correspondiente y se ha comparado con los datos. Con estos dos diferentes perfiles de densidad de DM, hemos construido el modelado de DM, incluyendo un aumento en el flujo de rayos gamma esperado debido a la existencia de subestructuras. Las subestructuras en el halo de DM son regiones de densidad mas alta en la densidad media del halo DM, reliquias de la historia de formación de la galaxias, llamada de abajo hacia arriba (“bottom-up”). Su efecto es mejorar la tasa de aniquilación de DM, es decir, la producción de rayos gamma, debido al aumento de la densidad de DM localmente. Hemos creado el modelo espacial bidimensional para nuestros objetivos. En la Fig. 2 se muestra la plantilla espacial de la galaxia IC10 para cuatro diferentes perfiles de distribución de densidad de DM. De hecho, el modelo MIN corresponde a un perfil plano de Burket sin ninguna subestructura, el modelo MED es el perfil de Burkert con una contribución media de las subestructuras. La contribución máxima de las subestructuras se ha calculado tanto para el núcleo de Burkert como para el perfil de la cúspide NFW (respectivamente, Burk-MAX y NFW-MAX).
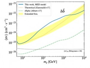
Finalmente, hemos analizado los datos del satélite Fermi-LAT (“Large Area Telescope”). No encontramos ninguna señal de rayos gamma de estos objetos, de hecho podemos excluir alguna región del espacio de parámetros, quiere decir de la masa de la partícula de DM y de la sección transversal de aniquilación. El límite de exclusión para la masa de DM y la sección transversal de aniquilación se presentan en la Fig. 3. La línea azul corresponde a los resultados de este trabajo para el análisis combinado de los 7 galaxias irregulares enanas con un modelo MED, consideradas como fuentes extensas. Estos resultados se comparan con la sección transversal de aniquilación promediada térmicamente (línea negra punteada), el resultado de [1] (línea discontinua amarilla), los resultados de 100 simulaciones de análisis de datos con una señal nula de DM (banda amarilla) y el límite de exclusión obtenido por el análisis de datos de Fermi-LAT de las bien conocidas galaxias esferoidales enanas (línea discontinua verde). Los resultados de nuestro estudio están dominados por las restricciones obtenidas por IC10 y NGC6822, y dependen débilmente del perfil de DM considerado.
Referencias
[1] V. Gammaldi, E. Karukes, and P. Salucci, Phys. Rev. D 98, 083008;
[2] V. Gammaldi, J. Pérez-Romero, J. Coronado-Blázquez, M. Di Mauro, E. V. Karukes, M. A. Sánchez-Conde, and P. Salucci, Phys. Rev. D 104, 083026.
