![]()
Una nueva generación de recubrimientos ecológicos para la industria aeronáutica: recubrimientos sol-gel dopados con inhibidores para aleaciones de Aluminio.

Una alternativa a estos tratamientos previos es la utilización de recubrimientos orgánico-inorgánicos mediante la Tecnología Sol-Gel. Estos recubrimientos permiten, mediante reacciones de hidrólisis, condensación y polimerización, formar un recubrimiento desde una solución coloidal a bajas temperaturas. Aunque se han realizado importantes avances durante la última década, el método sol-gel no alcanza a proveer la misma resistencia que los CCC’s debido a que no presentan un comportamiento auto-reparador intrínseco. Por este motivo y recientemente se está realizando un gran esfuerzo por encontrar inhibidores frente a la corrosión que puedan ser añadidos a la matriz sol-gel. Para ello se utilizan inhibidores que ayuden a disminuir y retrasar la actividad electroquímica en la superficie del metal en contacto con ambientes corrosivos.
En esta línea, en la 8a Edición del Workshop Internacional «Application of Electrochemical Techniques to Organic Coatings» (AETOC´2013) celebrado del 24 al 27 de Abril en Emmetten (Suiza), el Grupo de Tecnología de Polvos (GTP) de la Universidad Carlos III de Madrid presentó el trabajo “Corrosion Protection Studies of Hybrid Sol-Gel Coatings Modified by Amine Crosslinker on AA2024-T3: Global and Local Electrochemical Evaluation“ que muestra parte de la investigación que está desarrollando en los últimos años respecto a esta temática. El trabajo se desarrolló en colaboración con investigadores del CENIM (Centro Nacional de Investigaciones Metalúrgicas, CSIC) y de la Universidad NDSU (North Dakota State University). El Workshop se celebra bienalmente y reúne a los mayores expertos en la materia.

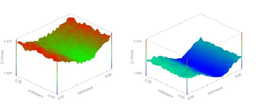
Mediante técnicas avanzadas de caracterización electroquímica como la Espectroscopia de Impedancia Electroquímica (EIS) y la Espectroscopia de Impedancia Electroquímica Localizada (LEIS) se caracterizaron los recubrimientos sol-gel modificados para evaluar su capacidad inhibidora en los procesos electroquímicos. Se observó que la adición de diferentes grupos funcionales aportados por los inhibidores entrecruzó el sol-gel de forma más efectiva, formado una red tridimensional más resistente, aportando resistencias crecientes a tiempos cortos sobre muestras sin defectos (Fig.1) y una disminución atenuada de la resistencia de polarización final en muestras con defectos controlados (Fig.2).
La combinación de las técnicas electroquímicas empleadas y un trabajo futuro prometedor sobre la influencia de la adición de inhibidores abre un gran abanico de posibilidades para el reemplazo final de los CCC’s.