![]()
Transformación de biomasa lignocelulósica en biocarburantes oxigenados de elevada densidad energética
En la actualidad diferentes grupos de investigación buscan a través de la misma materia prima que la utilizada en el proceso de fabricación de bioetanol de segunda generación la obtención de biocarburantes de elevada densidad energética mediante transformaciones químicas y sin la necesidad de un proceso de fermentación biológica.
Autor: [Juan Antonio Melero Hernández-Grupo de Ingeniería Química y Ambiental de la Universidad Rey Juan Carlos]
La escasez de los recursos fósiles y su elevado impacto ambiental como consecuencia de las emisiones de CO2 a la atmósfera está originando en la actualidad la búsqueda de alternativas energéticas más sostenibles y renovables para el transporte. Un transporte más sotenible implica una mayor diversificación e independencia de los combustibles fósiles y que sea medioambientalmente limpio (calidad del aire urbano y reducción de emisiones de CO2). Para la sostenibilidad del motor de combustión interna en lo relativo a la reducción de las emisiones de CO2 una de las alternativas es el uso de biocarburantes y en especial los de segunda generación (procedentes de materis primas no alimentarias y en general con carácter residual).
La biomasa lignocelulósica es muy abundante y presenta un gran potencial para producir una nueva generación de combustibles líquidos utilizando los azúcares que se obtienen de la hidrólisis de la celulosa y la hemicelulosa. Actualmente, la tecnología para la producción de biocarburantes a partir de azúcares se basa en procesos de fermentación para la producción de bioetanol. Sin embargo esta tecnología tiene importantes inconvenientes como son su baja economía atómica y los elevados costes energéticos y, por otro lado, el bioetanol presenta una baja densidad energética, una elevada solubilidad en agua y una elevada volatilidad, lo que limita su potencial para la formulación de carburantes. Estos inconvenientes pueden superarse si se desarrollan procesos que nos permitan transformar la biomasa lignocelulósica en biocarburantes oxigenados de elevada densidad energética diferentes del bioetanol y que sean compatibles con los actuales motores de combustión.
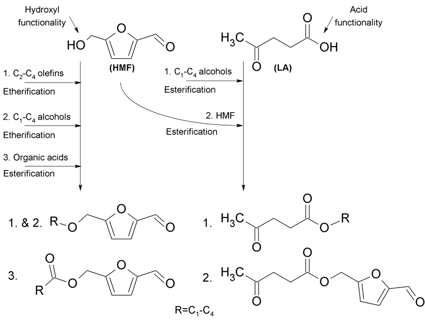
Diferentes grupos de investigación dedican sus esfuerzos al diseño de procesos y catalizadores que permitan la tranformación de la biomasa lignocelulósica en biocarburantes de elevada densidad energética de una forma sostenible y eficiente. Para ello, en primer lugar es ncesario la transformación de los polisacáridos (celulosa y hemicelulosa) presentes en la biomasa lignocelulósica en moléculas base de elevado valor añadido: furfural, 5-hidroximetilfurfural (HMF) y ácido levulínico (LA). Posteriormente, estas moléculas mediante diferentes transformaciones químicas dan lugar a diferentes compuestos que han mostrado ser buenos candidatos para la formulación de los combustibles convencionales de automoción (ver esquema adjunto).
Figura. Compuestos oxígenados derivados de la eterificación y esterificación de HMF y ácido levulínico.
Referencias
Earl Christensen, Janet Yanowitz, Matthew Ratcliff, and Robert L. McCormick. Renewable Oxygenate Blending Effects on Gasoline Properties. Energy Fuels 2011, 25, 4723–4733
Jean-Paul Lange, Richard Price, Paul M. Ayoub, Jurgen Louis, Leo Petrus, Lionel Clarke, and Hans Gosselink. Valeric Biofuels: A Platform of Cellulosic Transportation Fuels. Angew. Chem. Int. Ed. 2010, 49, 4479 –4483
Bret C. Windom,† Tara M. Lovestead,† Mark Mascal,‡ Edward B. Nikitin,‡ and Thomas J. Bruno. Advanced Distillation Curve Analysis on Ethyl Levulinate as a Diesel Fuel Oxygenate and a Hybrid Biodiesel Fuel. Energy Fuels 2011, 25, 1878–1890.
Hem Joshi, Bryan R. Moser, Joe Toler, William F. Smith and Terry Walker.Ethyl levulinate: A potential bio-based diluent for biodiesel which improves cold flow properties. Biomass and Bioenergy. 2011, 35, 3262-3266.




[…] Compromiso social por la ciencia Master Site Feed Posts Noticias Relacionadas El transporte del siglo XXI con energías limpias (Curso de verano de la Universidad Rey Juan Carlos) [Autora: Gisela Orcajo Rincón-Grupo de Ingeniería Química y Ambiental. Universidad Rey Juan Carlos]La Fundación de la Universidad Rey Juan Carlos organiza este año la XIII edición de sus Cursos de … SIGA LEYENDO Producción de hidrógeno mediante ciclos termoquímicos: CoFe2O4/Al2O3 [Autores: Carolina Herradón y Raúl Molina-Grupo de Ingeniería Química y Ambiental. Universidad Rey Juan Carlos] En la actualidad, la mayor parte de la energía que se produce en el mundo proviene … SIGA LEYENDO Energía solar concentrada aplicada a la producción de hidrógeno (1ª parte) [Carolina Herradón-Grupo de Ingeniería Química y Ambiental. Universidad Rey Juan Carlos]Existen tres tipos de procesos, y sus combinaciones, para producir hidrógeno a partir de la energía solar: electroquímicos, fotoquímicos y … SIGA LEYENDO Energía solar concentrada aplicada a la producción de hidrógeno. 2ª Parte: Procesos y reactores termoquímicos solares. [Carolina Herradón – Grupo de Ingeniería Química y Ambiental. Universidad Rey Juan Carlos]La reducción carbotérmica de óxidos metálicos utilizando coque, gas natural y otros materiales carbonosos como agentes reductores hace … SIGA LEYENDO Planta integrada a la red eléctrica: Hidrógeno-Energías renovables Autora: [M. Gisela Orcajo-Grupo de Ingeniería Química y Ambiental. Universidad Rey Juan Carlos] El proyecto MYRTE (“Mission hYdrogen – Renewable for the inTegration on the Electrical grid”), a cargo de la … SIGA LEYENDO El transporte del siglo XXI con energías limpias Producción de hidrógeno mediante ciclos termoquímicos: CoFe2O4/Al2O3 Energía solar concentrada aplicada a la producción de Energía solar concentrada aplicada a la producción de Planta integrada a la red eléctrica: Hidrógeno-Energías renovables est: biocarburantes, biomasa, Densidad, elevada, energética, lignocelulósica, oxigenados, transformación ← Clásico Barcelona-Real Madrid: Cristiano Ronaldo recupera su … – Qué.es (VIDEO) Daniela Romo y otras estrellas se desnudan para campaña … – Terra.com → Busqueda Search for: […]
[…] Energía y Sostenibilidad – […]
Interesante articulo, ya tiene algún diseño para un tipo de planta de procesamiento a pequeña escala, que volúmenes de procesamiento, costos, sostenibilidad, agradezco su información.