![]()
Lechos fijos aire-sólido para almacenamiento térmico de energía
Autor: Elisa Alonso, CIEMAT
La humanidad se enfrenta a una situación de emergencia climática donde la transición a un modelo energético limpio y sostenible es crítica para lograr revertirla. Las energías renovables juegan un papel fundamental, pero deben ser eficientes y gestionables. Para ello, es necesario poder almacenarlas. Ante la disyuntiva de almacenar energía eléctrica o energética térmica, según el estado actual de las tecnologías, la segunda resulta más eficiente, más económica y permite el almacenamiento a escala de gigavatios. Por ello, los sistemas de almacenamiento térmico son fundamentales en el diseño de las redes energéticas del futuro próximo.
Las diferentes formas de almacenar la energía térmica se pueden clasificar en almacenamiento de calor sensible, que se materializa en el incremento de temperatura del material de almacenamiento, calor latente, donde el material cambia de fase para absorber y ceder energía térmica y almacenamiento termoquímico, que consiste en aportar y recuperar calor mediante reacciones químicas reversibles. Así mismo, cada tipo de almacenamiento incluye diversos sistemas y tecnologías [1]. Entre ellos, este artículo se basa en los lechos fijos o empaquetados para almacenamiento de calor sensible en partículas sólidas sólido, usando aire como fluido de transferencia térmica. Serán denominados ASPB por su acrónimo en inglés: Air Solid Packed Bed. En términos generales, un ASPB es un contenedor o tanque relleno de partículas sólidas que permanecen fijas en el interior del tanque. Para cargar el sistema de almacenamiento, se hace pasar una corriente de aire caliente por la zona superior que atraviesa el lecho y sale por la parte inferior. La descarga y recuperación del calor almacenado se realiza cambiando el sentido del flujo de aire: entrará fría por la zona inferior y saldrá caliente por la superior. Los distintos mecanismos de transferencia de calor que tienen lugar durante los procesos descritos y mientras el tanque permanece cargado estáticamente, hacen que la energía térmica se acumule en el lecho de partículas formando lo que se denomina termoclina. La termoclina es una zona de transición entre las temperaturas máxima (Th) que corresponde con la zona más alta del tanque y mínima (Tc) que corresponde con la zona más baja. Se forma un gradiente entre ambas temperaturas que se desplaza en altura conforme el tanque se carga o se descarga. En la Figura 1 se describe gráficamente el proceso de carga de un ASPB. Los esquemas de la parte superior de la imagen representan la posición de la termoclina en diferentes momentos del proceso de carga. En cada uno de ellos, se ha dibujado la curva temperatura-altura (T-z). A medida que el tiempo avanza y el proceso de carga evoluciona, la termoclina se desplaza hacia abajo hasta llegar a la zona inferior del tanque, momento de máxima carga. El proceso de descarga conllevaría el movimiento opuesto de la termoclina. Las curvas T-z se han agrupado en los gráficos siguientes, primero tal y como aparecen en el esquema superior y después cambiando la posición de los ejes para una mejor visibilidad y compresión. Este último tipo de gráfico es el que habitualmente se emplea para describir la evolución de una termoclina con el tiempo. Cuanto más estrecha sea la zona de transición entre las zonas de temperatura caliente y fría, la eficiencia exergética del sistema aumentará porque la cantidad del calor aprovechable a la temperatura máxima será mayor. La termoclina avanza a una velocidad que viene determinada por el máximo de la pendiente de las curvas T-z, es decir, el punto de inflexión de dichas curvas. Esa velocidad proporciona información del tiempo requerido para que el sistema de almacenamiento se cargue o se descargue completamente [3].
Los ASPB son sistemas de almacenamiento térmico económicos porque, a diferencia de, por ejemplo, los sistemas comerciales de sales fundidas y doble tanque que se emplean en las plantas comerciales de concentración solar (y que pueden suponer hasta 15 horas de funcionamiento a potencia nominal de la planta sin radiación solar), constan de un solo tanque. Además, los materiales que se emplean como relleno suelen ser baratos y abundantes en la naturaleza. Por otro lado, los materiales deben ser seguros, resistentes mecánica y térmicamente y deben disponer de una capacidad térmica elevada además de una geometría que facilite las transferencias de calor con el aire sin generar elevadas pérdidas de carga. Algunos ejemplos comunes son los cantos rodados u otro tipo de rocas, arenas, gravas, etc.
Figura 1. Esquema representativo del proceso de carga de un ASPB, con foco en las curvas que muestran el avance de la termoclina con el tiempo.
Con el objetivo de incrementar la eficiencia de los ASPB se debe profundizar en el conocimiento de los procesos físicos que ocurren en su interior. En investigación se combina la experimentación con prototipos con el desarrollo de modelos de simulación que permiten predecir el funcionamiento del sistema antes de su construcción y además conocer los efectos de escala que no se aprecian con prototipos experimentales de pequeño tamaño.
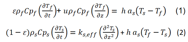
Los prototipos de investigación permiten estudiar la formación y evolución de la termoclina mediante la obtención de datos de temperatura en diferentes alturas y a lo largo del tiempo. Sin embargo, la contribución del propio tanque al comportamiento térmico bien sea por el calor que almacena en las paredes o por las pérdidas que puedan ocurrir a su través, es mucho más importante en dispositivos de menor escala y se hace despreciable cuando la relación entre el volumen de relleno y el volumen de las paredes es muy elevada. Las simulaciones de ASPB suelen consistir en la resolución de un balance de calor aplicado, bien al relleno y al aire por separado, o bien, en algunos casos, a ambas fases actuando como una fase efectiva. Si el coeficiente de transferencia de calor por convección entre el sólido y el aire es elevado, la asunción de una única fase puede ser una simplificación aceptable. El balance de energía aplicado al sólido y al aire por separado tendría la forma indicada en las Ecuaciones 1 y 2, a las que se les podría añadir términos adicionales para contabilizar otros fenómenos como, por ejemplo, pérdidas de calor a través de las paredes del tanque.
Estas ecuaciones muestran como las propiedades físicas del aire y del relleno son determinantes en la definición de la termoclina, además de la geometría del tanque y las condiciones de operación. En particular, se ha observado que la capacidad térmica del relleno se debe conocer con exactitud para un correcto análisis del comportamiento del sistema dado que pequeñas variaciones provocan diferencias notables en la forma de la termoclina.
Algunas de las incertidumbres científico-técnicas de los ASBP se están resolviendo en el proyecto ACES2030 financiado por la Comunidad Autónoma de Madrid, como tecnología de interés para su integración en plantas de energía solar de concentración. El objetivo último de la investigación en esta temática debe ser el diseño de ASPB con alta densidad energética, donde la región ocupada por la termoclina, es decir, la transición entre la temperatura caliente y la fría sea pequeña y con una velocidad de carga y descarga razonable.
Referencias
[1] Pardo, P., Deydier, A., Anxionnaz-Minvielle, Z., Rougé, S., Cabassud, M., Cognet, P., 2014. A review on high temperature thermochemical heat energy storage. Renew. Sustain. Energy Rev. 32, 591–610.
[2]Esence, T., Bruch, A., Molina, S., Stutz, B., Fourmigué, J.F., 2017. A review on experience feedback and numerical modeling of packed-bed thermal energy storage systems. Sol. Energy 153, 628–654.
[3] Bayón, R., Rojas, E., 2013. Simulation of thermocline storage for solar thermal power plants: From dimensionless results to prototypes and real-size tanks. Int. J. Heat Mass Transf. 60, 713–721.
Contacto
Elisa Alonso, Investigadora del grupo CIEMAT-ATYCOS del Programa ACES2030-CM.
Coordina ACES2030-CM: Manuel Romero Álvarez. IMDEA Energía



Sin duda, estamos en inmersos en un profundo cambio en enerigias dejando de un lado la combustión para pasar a un mundo más eficiente y renovable.