![]()
El buen momento de la síntesis orgánica
La segunda sesión del simposio «Síntesis Orgánica en el Año Internacional de la Química» (15 de abril) mantuvo el alto nivel de la primera jornada, demostrando el buen momento de la síntesis orgánica actualmente.
Los ponentes de esta sesión fueron:
1) Profesor Stephen L. Buchwald. Advances in Palladium-Catalyzed Coupling Reactions.
Presentó resultados recientes de reacciones de aminación catalizadas por complejos de paladio. Hace unos años, Buchwald y Hartwig describieron, de manera independiente, las reacciones de sustitución nucleófila de haluros de arilo por aminas catalizadas por complejos de paladio (actualmente conocida como reacción de Buchwald-Hartwig). En su charla, Buchwald presentó diversas aplicaciones sintéticas selectivas, especialmente a heterociclos, usando nuevas fosfinas como ligandos del paladio.
2) Profesor Hisashi Yamamoto. Designing Acid Catalysis for Asymmetric Synthesis.
El grupo de Yamamoto ha publicado recientemente las aplicaciones sintéticas del grupo tris(trimetilsilil)sililo (grupo «supersililo»), como grupo protector y generador de enolatos de silicio. La charla del profesor Yamamoto se centró principalmente en el uso de los enolatos de «supersililo» en reacciones aldólica-Mukaiyama, con alta esteroselectividad. Una aplicación interesante es en procesos secuenciales que permite ensamblar rápidamente unidades de poliacetato/polipropionatos, que son rasgos estructurales presentes en numerosos productos naturales.
3) Profesor Amir Hoveyda. New Concepts and Catalysts for Stereoselective Olefin Synthesis.
Presentó numerosos resultados de reacciones de metátesis cruzada de olefinas con aplicaciones a estructuras complejas. También presentó resultados que demustran la importancia del catalizador en este tipo de reacciones. Hoveyda mantiene una colaboración estrecha con el grupo del profesor Richard Schrock (Premio Nobel en 2005) que hace unos días impartió dos charlas en Madrid sobre el mismo tema.
4) Profesor Ilan Marek. New Stereoselective Strategies in Synthesis.
El grupo de Marek ha desarrollado métodos de síntesis estereoselectiva de compuestos con carbonos cuaternarios usando organometálicos generados a partir de haluros de alquilo, dietilzinc y diyodometano; los cuales adicionan a aldehídos de manera estereoselectiva en reacciones tipo Barbier-Grignard.
5) Profesor Pedro Pérez. Novel C-C, C-N and C-O bond forming reactions catalyzed by group 11 metals.
El grupo del profesor Pérez, de la Universidad de Huelva, está desarrollando metodología sintética basada en la catálisis por complejos de plata o cobre. En la charla presentó resultados muy interesantes en la síntesis de heterociclos pentagonales, reacciones de trannsferencia de nitrenos para obtener aziridinas, transformaciones de furanos en dihidropiridinas y reacciones de metano con diazoalcanos.
6) Dr. James Moon. Discovery and Development of mGlu2/3 Receptor Agonists for the Treatment of Schizophrenia.
El Dr. Moon ofreció la perspectiva de desarrollo de un fármaco desde una empresa farmacéutica. A partir de análogos conformacionalmente restringidos de ácido glutámico se están desarrollando fármacos para tratar la esquizofrenia.
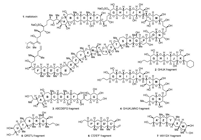
7) Profesor K. C. Nicolaou. Maitotoxin: An Inspiration for Synthesis.
Fue un gran broche de oro para el simposio. El profesor Nicolaou presentó los resultados de su grupo en la síntesis total de la maitotoxina (uno de los productos naturales más complejos estructuralemente) de la que están muy cerca de completar. Además, el profesor Nicolaou presentó con cierto detalle la base del desarrollo de la metodología sintética que se ha usado en la síntesis de la maitotoxina (ver imagen con la estructura y los fragmentos generados a partir de los que se está sintetizando) y de las brevetoxinas (sintetizadas en su grupo hace varios años). Además, el profesor Nicolaou realizó interesantes reflexiones sobre ciencia y educación y dió una excelente panorámica de la filosofía de la síntesis orgánica de productos naturales y análogos. Fue una gran lección que todos los asistentes recordaremos muchos años y que espero que los jóvenes disfrutasen y que les sirva de inspiración y estímulo.
En definitiva, una gran reunión científica. El comité organizador ha puesto el listón muy alto y todos los asistentes estamos esperando el próximo Simposio Lilly sobre Síntesis Orgánica (programado para 2014). Felicidades y agradecimiento al comité organizador (Dres. Gutierrez-Fuentes y Ezquerra y profesores Álvarez-Builla y Echavarren).
Bernardo Herradón
Consejo Superior de Investigaciones Científicas

[…] El grupo de Yamamoto ha publicado recientemente las aplicaciones sintéticas del grupo tris(trimetilsilil)sililo (grupo … [Seguir leyendo…] Compromiso social por la ciencia Master Site Feed Posts […]