![]()
Los Poderes y su Terror al Imperio de las Masas: Bruno Latour y las Enseñanzas de las Ciencias de la Complejidad
?Continuamos analizando el punto de vista de Bruno Latour sobre que es la “realidad”. Como vimos en post anteriores al analizar los argumentos de este autor en su libro “La Esperanza de Pandora”, para él, la filosofía ha ido dando un traspiés tras otro a la hora de dar cuenta de lo que es la realidad desde Descartes y Kant hasta la fecha. Bruno explica que generar una dicotomía entre el mundo exterior y nuestra mente es uno de los mayores males que han atenazado a la filosofía occidental. Del mimo modo apunta que la obsesión sobre como interpretar la realidad esconde un pánico oculto al poder de las turbas. Y tal miedo afecta a todo tipo de poderes, el político, el religioso y, como no, al de los propios pensadores y científicos. Latour dice que toda forma de poder tiene como uno de sus principales objetivos el control sobre una masa de ciudadanos que no pasan de ser para ellos más que “despojos humanos”. Considero que es a partir de esta premisa de donde Latour extrae sus más brillantes y originales argumentos filosóficos y antropólogos en el contexto de los denominados Estudios Sociales de la Ciencia. De ser cierto, el «poder» tiene un problema, pero el ciudadano también. El de los primeros resulta ser el propio pueblo al que intentan doblegar, mientras que el nuestro, como ciudadanos, lo sería por tanto el «poder» mismo que pretende manipularnos. Del mismo modo, Latour, tomando como ejemplo el debate entre Calicles y Sócrates, narrado en las Górgias de Platón, denuncia que los argumentos esgrimidos por los que pretenden doblegar a las masas, con independencia de su origen y razones, incurren en las mismas falacias y triquiñuelas. Ahora que estamos en un periodo preelectoral, diríase que nos advierte contra todos, incluidos los propios científicos. Pero veamos cuales son los argumentos de este pensador.
Como he dicho, dos miedos subyacen (…). El primero, el temor de una mente-en-la-cuba que pierde su conexión con el mundo exterior, tiene una historia más breve que el segundo y nace de esta evidencia: si la razón no gobierna, entonces la simple fuerza triunfará. Tan grande es esta ?amenaza que se utilizan impunemente todo tipo de expedientes políticos contra aquellos que están bajo sospecha de abogar por el uso de la fuerza contra la razón. Pero, ¿de donde procede esta llamativa oposición entre el campo de la razón y el de la fuerza? Proviene de un antiguo y venerable debate, un debate que probablemente se desarrolla en muchos lugares, pero que se escenifica con la mayor claridad e influencia en el Gorgias platónico. En este diálogo, que examinaré con mayor detenimiento en los capítulos 7 y 8, Sócrates, el verdadero científico, se enfrenta a Calicles, otro de esos monstruos que deben ser entrevistados con el fin de dejar bien patente su disparatada charla, esta vez no en las orillas de un lago brasileño sino en el ágora de Atenas. Sócrates dice a Calicles: «No has prestado atención al gran poder que la igualdad geométrica tiene entre los dioses y los hombres, y esa desatención a la geometría te ha llevado a creer que uno debe intentar procurarse una parte desproporcionada en el reparto de las cosas» (508a).
Sin duda, Calicles es un experto en cuanto a desproporciones. <<Yo creo», alardea en lo que es una anticipación del darwinismo social, «que basta con observar la naturaleza para encontrar evidencias de que está bien que los mejores obtengan mayor beneficio en el reparto que los peores [ .. .]. El hombre superior debe dominar al inferior y tener más que él» (…) El Poder instaura el Derecho, admite Calicles (…) Tal como ambos protagonistas se apresuran a señalar, deben considerarse al menos dos tipos de Poder: el de Calicles y el de la muchedumbre de los atenienses. «¿Qué otra cosa crees que he estado diciendo?», pregunta Calicles. «La ley consiste en las afirmaciones hechas por una asamblea de esclavos y otras variadas formas de despojos humanos, todos los cuales podrían ser completamente despreciados si no fuese por el hecho de que disponen de fuerza física (…) el asunto no se reduce simplemente a la oposición entre la fuerza y la razón, el Poder y el Derecho, sino al Poder del solitario patricio frente a la superior fuerza de la masa. ¿Cómo podría anularse la fuerza conjunta del pueblo de Atenas? «¿Ésa es pues tu posición», ironiza Sócrates: «una sola persona inteligente está prácticamente obligada a ser superior a diez mil necios; el poder político debe pertenecerle y los otros han de ser sus súbditos; y es pertinente que alguien que detenta el poder político tenga más que sus súbditos» (….). Cuando Calicles habla de la fuerza bruta, se refiere a una fuerza moral heredada, superior a la de diez mil brutos.
Y en verdad que no han cambiado tanto las cosas desde la cultura ateniense. ¿Alguien lo duda? ¿De verdad hay que poner ejemplos? Pocas o ninguna han sido las civilizaciones que han respetado los derechos de los ciudadanos y por lo tanto raramente las revueltas populares que no han sido aplastadas, con la excepción de la revolución francesa y pocas más. Pero da igual ya hablemos de comunismo o de dictaduras fascistas, al final tan solo unos pocos han ostentado el poder, llevándose la mayor parte del pastel y generando brutales desigualdades en la distribución de la riqueza. ¿Y que decir de los integrismos religiosos, y aun más, de las propias democracias?
Basta con analizar la distribución de la riqueza por países y la de los ciudadanos en el seno de cada Estado. Todas ellas, una vez más, siguen las reiteradas curvas de Willis. En otras palabras, unos pocos acaparan mucho y la inmensa mayoría no tienen casi nada. Y en tierra de nadie se encuentran las denominadas clases medias, esas que sólo adquieren una auténtica relevancia en algunos países ricos que no se encuentran obligados a defender sus imperios. Nos encontramos así en una cascada jerárquica de curvas de Willis que se asemejan a una estructura fractal. Recordemos que ambos constructos son huellas de la presencia de sistemas complejos. Pero sigamos con Latour, antes de ver que podemos extraer de provecho a la hora de analizar tan espinoso problema.
?Pero, ¿es justo que Sócrates ironice a costa de Calicles? ¿Qué tipo de desproporción pone Sócrates en práctica? ¿Qué tipo de poder está tratando de esgrimir? El Poder por el que opta Sócrates es el poder de la razón, «el poder de la igualdad geométrica», la fuerza que «gobierna a los dioses y a los hombres», un poder que él conoce y que Calicles y la masa ignoran. Hay aquí, como veremos, una segunda pequeña pega, ya que existen dos fuerzas de la razón, una dirigida contra Calicles, elemento ideal de contraste, y otra de dirección oblicua, cuyo objeto es invertir el equilibrio de poder entre Sócrates y el resto de los atenienses. También Sócrates está buscando una fuerza capaz de anular la de los «diez mil necios». También él trata de obtener la mejor parte. ¡SU éxito al invertir el equilibrio de fuerzas es tan extraordinario que, en la parte final del Gorgias, presume de ser «el único verdadero hombre de Estado de Atenas», el solitario ganador de la mayor tajada de todas, (….)Sócrates ridiculiza a los más famosos políticos atenienses, Pericles incluido, y sólo él, provisto del «poder de la igualdad geométrica», será quien gobierne a los ciudadanos de la polis incluso después de muerto. Sócrates es uno de los primeros en la extensa historia literaria de los científicos locos.
«Por si no fuera suficiente con tener que soportar su chapucera historia de la filosofía moderna», podrá quejarse el lector, «¿tiene usted encima que arrastramos hasta la época de los griegos para dar cuenta de (…) Me temo que ambos rodeos eran necesarios, ya que sólo ahora los dos hilos, las dos amenazas, pueden anudarse para explicar las preocupaciones. Únicamente tras estas digresiones puedo al fin, eso espero, exponer mi posición con claridad. Para esquivar la amenaza del imperio de las masas, que sería el imperio de lo inferior, lo monstruoso y lo inhumano, hemos de depender de algo que no tenga origen humano, que no presente vestigios de humanidad, algo que se encuentre pura, ciega y fríamente fuera de la Ciudad. La idea de un mundo completamente exterior con la que han soñado los epistemólogos es el único modo, piensan los moralistas, de evitar ser víctima del imperio de las masas. Sólo la inhumanidad anulará a la inhumanidad. ¿Pero cómo es posible imaginar un mundo exterior? ¿Alguien ha visto en alguna ocasión semejante rareza? No hay problema. Haremos del mundo un espectáculo que se ve desde dentro
Retornaremos al dilema derivado de la dicotomía mundo exterior-mundo interior en otro post (aunque ya hemos hablado de él en varios de otros anteriores, enlazados abajo sobre el pensamiento de Bruno). Analicemos ahora el problema desde el ángulo que Latour soslaya. Me refiero al poder de las fuerzas de la naturaleza, que las huellas aludidas de las ciencias de la complejidad insinúan.
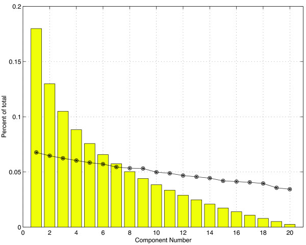
¿Es trivial desde el punto de vista de la física y las matemáticas la ubicuidad de las Curvas de Willis?. Pues no, no parece ser un tema nada trivial. He hablado con expertos de ambas disciplinas al respecto. Estos han confirmado mis sospechas. No existe ninguna razón “aparente” como para no detectar en la naturaleza, artefactos humanos, estructuras sociales, desarrollo económico, constructos mentales, conectividad de las redes sociales en Internet, etc. distribuciones estadísticas más equitativas que de las que da cuenta la Curva de Willis (geométricas, logarítmicas, potenciales y logaritmo normales u otras muy emparentadas). Pero allí están, en todos esos universos visibles e invisibles. Habrá pues que contemplar a las fuerzas que organizan la naturaleza, así como las que optimizan el flujo de materia energía e información. Pues bien, siempre topamos con las curvas de Willis.
Curva de Willis
Si en verdad somos materia, materia viva, pero al fin y al cabo materia, y si del mismo modo nos vemos obligados a seguir las fuerzas de la naturaleza, ya somos parte de ella, evidentemente llegamos a la paradoja sobre la imposibilidad “física” de alcanzar estructuras sociales muy equitativas. Abajo, la multitud vociferante de la plebe y conforme subimos en la “jerarquía social, cada vez menos y menos individuos con más poder y riqueza. Si inevitablemente las cosas ocurren así, si no se topa con otro tipo de soluciones estructurales que no constituyan sistemas jerárquicos de otra índole el problema es muy serio; tanto como para desanimar a iniciar cualquier tipo de cambio. Desde tal conjetura, deduciríamos un inevitable fracaso del marxismo a la hora de repartir justicia social. El hecho de que todas las estructuras sociales de las civilizaciones adquieran una forma piramidal como la esbozada debería hacernos reflexionar. De acuerdo a las ciencias de la complejidad, los sistemas adquieren a lo largo de su evolución estructuras más complejas (Ley de Dollo), mientras que estas son mayoritariamente jerárquicas a la hora de solventar ciertas familias de procesos genéricos, con independencia de la naturaleza del sistema analizado. Por tanto, una lucha por la igualdad se torna en otra contra natura. Como corolario las turbas siempre saldrían perdiendo, mientras que unos pocos se repartirán ineludiblemente la mayor parte del pastel. ¡Mal asunto verdad!: sería como ir en busca del Santo Grial. ¿Pero no hay solución a esta barrera que se alza imponente delante de nosotros?: Posiblemente sí. Aunque no podamos alcanzar la plena equitatividad, la curva de Willis da cuenta de varias distribuciones estadísticas con distinto grado de distribución de la riqueza-abundancia. ¿Cuál es la más equitativa?
El famoso ecólogo matemático y epidemiólogo Sir. Rober May, mostró como la distribución de la riqueza entre los años 60 y 80 pasó de ajustarse a una lognormal a otra logarítmica o geométrica. Y al hacerlo detectó una distribución menos equitativa de la riqueza y la pérdida de poder de las clases medias de aquel país. Si analizáramos los devastadores efectos de la globalización llegaríamos a conclusiones similares. La distribución estadística más equitativa que encubre la curva de Willis resulta ser el denominado modelo de palo quebrado (también conocido por “bastón roto” u otro semejante). Pues bien, se da el caso que, aunque no es muy frecuente, si aparece en la naturaleza y es mucho más equitativo que todas (o casi todas) las estructuras sociales y modelos de distribución de la riqueza que hoy padecemos. Quizás fuera este el objetivo al que deberíamos apuntar.

Acierta Bruno Latour al enfatizar que la esencia del Darwinismo Social se encuentra en la frenética lucha de los poderes contra el imperio de las masas. Y aquí reside el éxito que llegó a alcanzar la Teoría darviniana de la Evolución, por cuanto justificaba la terrible explotación de la plebe por la burguesía de UK en el siglo XIX. En otras palabras, hablamos de la denominada revolución industrial (equiparable a la que sufren hoy los ciudadanos de los países emergentes). Pedro Koprotkin propuso una visión de la evolución mucho menos agresiva, pero fue arrinconada rápidamente en el baúl de los recuerdos.

Si los poderes quieren aplastar al ciudadano, nosotros tenemos el derecho a defendernos y buscar un modelo de sociedad más justo, basado en principios científicos y epistémicos distintos, como los que propusimos en este post.
Lamentablemente, en mi opinión, Latour no consideró estas leyes de la naturaleza en su discurso. De cualquier modo, personalmente comparto su visión acerca del «el imperio de las masas». El Poder, proceda de donde proceda considera que “no nos pueden dejar solos”, pero nosotros deberíamos hacer lo mismo. Las nuevas redes sociales creadas en Internet pueden y deben ser “observatorios” desde los que las turbas controlemos a los que nos quieren doblegar. Creo que el mensaje está claro: ¿no?
Finalmente, os dejo una tarea que resulta ser menos tonta de lo que en un principio pudiera parecer. Imaginémonos que tales “Poderes” concedieran un solo deseo, o quizás tres, a nosotros, chusma indeseable. ¿Cuáles podríamos elegir para defendernos de sus insaciables pretensiones? De ser uno, yo diría que “La Carta de los Derechos humanos”. De ser tres sugeriría que, además de aquella, la de los niños y la mujer. De acceder habrían caído en su propia trampa. Léanlo(s) de nuevo (si no lo han hecho todavía) e imagínense que les obligáramos a que los cumplieran a raja tabla. Les aseguro que viviríamos en un mundo menos “inhumano”. ¿Por qué creen que ningún país del mundo los cumple, incluso los denominados democráticos?
Pidámosles este “Regalo de Reyes” a nuestros políticos en campaña electoral. Con toda seguridad alegarían que ya los tenemos. Efectivamente que los tenemos. Lo que ocurre es que ellos los incumplen una y otra vez, al fin y al cabo somos la plebe a la que parasitar, no a la que defender.
Juan José Ibáñez
Continuará…….
Sumario de los post editados en “Curso Básico sobre Filosofía y Sociología de la Ciencia hasta este post (pinchar en los números para desplegar los post)
¿Qué es esa cosa llamada Ciencia?
Curso Básico sobre Filosofía y Sociología de la Ciencia
Ciencia e Inducción [1, 2, 3, 4, 5, 6, 7, 8, 9, 10, 11, 12, 13,]
El Círculo de Viena y el Positivismo Lógico [41]
Filosofía de Karl Poper: El Falsacionismo [14, 15, 16, 19, 20, 21, 23, 24, 25, 26]
Filosofía de la Teoría de la Evolución y Sociedad [17, 18],
Naturaleza y enseñanza de la Ciencia [22]
Las Teorías Científicas Como Estructuras Complejas
La Filosofía de Imre Lakatos [28, 29, 30, 31, 32]
La Filosofía de Thomás Kuhn [33, 34, 35, 36, 37]
Filosofías Radicales de la Ciencia: Feyerabend y más [38]
Filosofía de la Ciencia versus filosofías científicas [39]
¿Es la mente fractal? [40]
¿Filosofía Cuántica? [42]
Seredipidad o Serendipia y la Lógica de los Descubrimientos Científicos [43]
El Dudoso Estatus de los Ciencia Modelos de Simulación Predicativos [44]
Filosofía de la Tecnología y Ortega y Gasset [45]
Los Conceptos y Sus Limitaciones: Vivir en la Incertidumbre [46]
Nominalismo, Realismo y Conceptualismo: Sobre el significado de concepto [47]
Pensamiento Analógico y Pensamiento Digital: Acerca de lo Continuo y lo Discreto [48]
El Discurso Científico, Conceptos Contrarios y Jean-Marc Lévy-Leblond [49]
Sobre Ciencia, Filosofía de la ciencia y religión : [50]
Clasificaciones, la Percepción del Mundo y el Progreso Acumulativo de la Ciencia [51]
El Concepto de Especie, Tipos de Suelo y la Filosofía de la Ciencia: Realismo Promiscuo [52]
Números mágicos [53]
Bruno Latour y los Estudios Sociales de la Ciencia [54, 55, 58, 59, 60]
Reduccionismo epistemológico y ontológico (las teorías del todo) [56]
Sobre lo continuo y lo contiguo [57]
Hola Juanjo, una reflexión: si no somos capaces de imitar lo mejor
de la Naturaleza, porque vamos a justificar con ella la naturaleza
humana?
Funciona mucho mejor un hormiguero que cualquier ciudad .
Y lo del reparto no lo veo tan crudo: no sé si en alguna sociedad
comunista de verdad, o anarquista, se han hecho curvas de Willis con el nivel de vida… lo ideal es que sigan una distribución de palo quebrado?
Por otra parte, a nivel de ecosistemas, los más ricos por aportes externos cíclicos, precisamente por tal perturbación, resultan ser en los que hay mayor predominio de ciertas especies en detrimento de otras: en los que ciertas pocas especies reúnen la mayor biomasa…
En la naturaleza es la ley del más fuerte pero a nadie se le ocurriría científicamente justificar guerras… por qué si el reparto de riquezas?
Como muestras el tema es tan antiguo como Sócrates… yo me quedo con él en lo de que no sé nada… así que ante la incertidumbre elijo su "igualdad geométrica"…
Un abrazo
Xabier,
Argumentas con razones Darvinistas, pero hay otro tipo de perspectivas de la evolución que sin negar el darvinismo lo enriquecen y "humanizan". Si nuestra civilización no sigue las pautas de la naturaleza es por la sencilla razón que nadie la ha querido considerar como referente. Ahora comienzan a aparecer estudios para contratar ambas. No que yo sepa no ha habido civilizaciones con un reparto más aquitativo de la riqueza. Si postulo que el modelo de palo quebrado puede ser un ideal más fácil de alcanzar que una equitatividad total que es pura utopía.
Yo no me quedo con Sócrates ni de lejos. Cuando alquien quiere imponer a una sociedad algo ya sea por la fuerza o la razón caemos como mínimo en el pensamiento único y a lo peor en el fascismo.
Y finalmente, tener la naturaleza como referente no significa que no posamos "sortear" algunas de sus estructuras y procesos. Pero debemos saber cuales y como; y eso es cuestión de ponerse a investigar. Cordiales saludos
Juanjo
Marvin Harris en "Jefes, cabecillas y abusones" habla de sociedades polinesias donde el jefe siempre es el más rico. Pero a cambio del puesto de responsabilidad y decisión debe organizar un gran banquete una vez al año, en donde gasta todo su excedente en sus paisanos. De tal manera que para el año siguiente no será ni el más rico ni el jefe.
Lo de los ecosistemas no quería ser en absoluto darwinista. Me refería al hecho de que en esos ecosistemas tan inestables donde los recursos oscilan en ciclos se produce un dominio de ciertas especies. En comparación con otros más estables y con gran biodiversidad. No sé si antiguamente esos ciclos eran más patentes para los humanos en forma de escasez de cosechas, etc. Pero es ridículo que hoy día se justifique la desigualdad científicamente porque en absoluto nos encontramos con ciclos de escasez de alimentos (se dice que sobra comida en el mundo, falla el reparto). Y eso sí, la curva de Willis creo que es más patente en sociedades capitalistas modernas (supongo que las hechas por May eran sobre capital, aunque hay más recursos que el monetario).
Muchas veces tengo la sensación de que el neoliberalismo se ve a sí mismo como lo más alto de la pirámide: eso no sé si es visión darwinista. Y con ello pueden enriquecerse con la plusvalía del obrero. Pero me quedo con el modelo aquel de las margaritas de Lovelock (creo que lo había leído en este blog). Diseñó un programa de ordenador con un sol con energía constante y dos poblaciones de margaritas cuyo color ayudaba a calentarse el planeta (negras) o enfrirse (blancas). Lo sorprendente es que en el planeta, a pesar de la evolución de la localización de las margaritas, se mantenía más o menos constante la temperatura, se producía autorregulación. El modelo aún se hacía más constante al introducir más variables (mayor complejidad del sistema) como más gamas de colores de las margaritas, conejos (hervíboros), zorros (carnívoros). También respondían mejor a las catástrofes programadas. Cada especie tiene su papel y el estar en la cima de la pirámide no significa más que una representación de la cadena trófica en cuanto a biomasa.
No sé, me parece que se pueden hacer muchos símiles con la Naturaleza y lo humano, pero que todos dependerán de la ideología de la persona. Y efectivamente puede surgir el fascismo, al igual que usó la filosofía de Nietzsche el nazismo, la podría haber usado una familia hippie.
Un saludo.
[…] la clase investigadora) contra los levantamientos ciudadanos descabezados (ver nuestro post: “Los Poderes y su Terror al Imperio de las Masas: Bruno Latour y las Enseñanzas de las Ciencias de l…”. Empero sin darnos cuenta, los hechos comienzan a ser tozudos. Dudo mucho que esos sempiternos […]
[…] en este curso, no es neutra, por cuanto ninguna lo es. Sin embargo, se basan en las tesis de Bruno Latour, uno de los padres de la disciplina denominada “Estudios Sociales de la Ciencia”, y del que […]
[…] El descontento afecta por igual a toda la clase política, Por ejemplo, al margen de otras decisiones que han empobrecido a los ciudadanos (o al menos así lo percibimos), el partido socialista logró que se aprobara en el parlamento español la Ley Sinde, que irritó a los jóvenes cibernautas sobremanera. ¡Si! si, esos que ahora se encuentran protestando “pacíficamente”. Si en verdad los dirigentes políticos vienen a servir, que no a servirse de los ciudadanos, nada debieran temer. Tan solo necesitan escuchar la voz del pueblo que les vota. Ahora bien, quizás tuviera razón el pensador francés, algunos de cuyas pensamientos plasmamos en el siguiente post: “Los Poderes y su Terror al Imperio de las Masas: Bruno Latour. […]
[…] como apelando a la filosofía de Bruno Latour hablamos ya hace mucho tiempo en nuestro post: “Los Poderes y su Terror al Imperio de las Masas”. Latour basa su tesis escrita en “La Esperanza de Pandora: Ensayos sobre la Realidad de los […]
[…] cambiado. No solo hemos perdido el estado del bienestar, sino también la cabeza y el ¡juicio!. Así nos quieren los poderes, embrutecidos, ignorantes y coléricos, como nos recordaba Latour ¡Que pase el siguiente: ha comenzado la […]
[…] Los Poderes y su Terror al Imperio de las Masas: Bruno Latour y las Enseñanzas de las Ciencias de l… […]
[…] Echeverría en su “La revolución tecnocientífica”: El término “tecnociencia” lo usó Bruno Latour en 1983 tan sólo para abreviar la interminable frase de “ciencia y tecnología”. Otros muchos […]
[…] con vistas a explicar sus fundamentos. Aquí os doy cuenta de la mayoría de los mismos: (i) Los Poderes y su Terror al Imperio de las Masas: Bruno Latour y las Enseñanzas de las Ciencias de l…; (ii) Mente y Realidad: Descartes y Kant desde la Óptica de Bruno Latour; (iii) Percepción […]