![]()
Las matemáticas del coronavirus Covid-19
La historia se repite
A lo largo de la historia, la humanidad ha afrontado epidemias de diversas magnitudes, algunas devastadoras, como la llamada plaga de Atenas, en el año 430 a.C., en plena Segunda Guerra del Peloponeso. No se conoce la naturaleza de la plaga, pero según el historiador Tucídides, que la contrajo y sobrevivió, la ciudad de Pericles tardó 50 años en recuperarse y, durante esa época, la desesperanza fue tal que sus habitantes perdieron la fe en los dioses y en las leyes ante una inminente muerte. Según Tucídides, la plaga vino de Etiopía y pasó luego a Egipto, Libia y Grecia. Incluso los espartanos que asediaban Atenas se retiraron por el temor a la epidemia.
La peste negra asoló Europa y Asia en el siglo XIV, siendo probablemente la pandemia más terrible que ha sufrido la humanidad; su pico se produjo entre los años 1347 y 1353, y sólo en Europa se registraron 25 millones de víctimas, ¡la tercera parte de su población!, y entre 40 y 60 millones en África y Asia. Se cree que su origen fue de nuevo África y los cálculos indican que se extendió ferozmente por Asia y Europa. Las consecuencias sociales fueron enormes y, posiblemente, fue una de las principales causas del fin de la Edad Media.
Otro episodio terrible está asociado a la mal llamada gripe española de 1918, que acabó con 25 millones de vidas en todo el mundo en sus primeros seis meses (aunque algunas fuentes llegan hasta los 100 millones en total). Comenzó en Estados Unidos, en los campamentos militares donde los soldados eran preparados antes de ser enviados a Europa durante la Primera Guerra Mundial. La gripe se extendió pronto a Francia, Italia y Alemania, y después a España, país neutral que informó a través de sus periódicos del tema sin censuras, al contrario de los países en guerra. Estudios recientes han identificado el virus causante como un virus aviar.
En tiempos recientes hemos asistido a la emergencia del sida, de la gripe aviar de 2009 o del ébola, mientras que regiones enteras del planeta sufren de manera habitual desde hace décadas, incluso siglos, enfermedades como la malaria, el dengue o, más recientemente, el zika. Hemos temblado con las noticias de pandemias causadas por virus de animales, como el SARS (murciélagos en China) y el MERS (murciélagos en Arabia Saudí). Estos dos últimos casos son producidos por coronavirus; es decir, virus que padecen algunos animales y que, en algún momento, sufren una mutación que les permite atacar también a los humanos (a veces por una especie intermedia).
En nuestros días, conocemos al enemigo bastante mejor que los atenienses o los europeos de la Edad Media gracias, en particular, a tres grandes contribuciones de la segunda mitad del siglo XIX y principios del XX: la teoría germinal de las enfermedades del francés Louis Pasteur; la identificación del virus del tabaco del ruso Dimitry Ivanovski, usando el filtro Chamberland-Pasteur; y la invención del microscopio electrónico, que desde 1931 permite fotografiar al enemigo.
Aunque el SARS-nCoV-2 (inicial y comúnmente conocido como Covid-19) es un nuevo virus y nos pone ante un nuevo desafío, no resulta totalmente desconocido por pertenecer a la familia de los coronavirus (Figura 1). No obstante, la pandemia que ha generado no sólo tiene que ver con los aspectos biológicos del virus sino, quizá con mayor importancia, con aspectos sociales y demográficos.
Figura 1: Coronavirus y sus características espínulas en forma de corona.
Es verdad que las matemáticas no curan enfermedades directamente, pero sí ayudan a explicar cómo se extiende un cáncer o propaga una epidemia, o a medir la efectividad de una vacuna o testar la de un medicamento. En ocasiones, las matemáticas ayudan modestamente a comunicar mejor o incluso a simular escenarios que ayuden a la toma de decisiones. Las herramientas que están más cercanas a estos problemas son las ecuaciones diferenciales y los modelos estocásticos, pero también la teoría de juegos, big data, machine learning y, en general, el análisis de datos juegan ya un papel relevante, especialmente cuando queremos incluir los aspectos de las conductas sociales.
SARS-CoV-2 y las matemáticas
En estos momentos de angustia en torno al infame coronavirus, llegan voces desde distintos campos de la ciencia tratando de echar una mano para entender o mitigar la pandemia. En un mundo de biotecnología parece extraño acudir a las matemáticas para resolver los enigmas que el SARS-CoV-2 nos plantea. Esto se debe a que, normalmente, no se concibe la conexión entre las matemáticas y la realidad más allá de “contar con los dedos” como aprendimos a hacer de niños.
Para probar al lector que esto no es así, seamos osados y ¡contemos con los dedos! Imaginemos que cuando acabe todo fuésemos capaces de determinar quién contagió a quién. El lector podría ser el primer portador del virus y haber estrechado la mano o tosido delante de otras 3 personas que se contagiaron a su vez. Luego, cada una de estas tres personas habrían contagiado a otras 3 (y ya van 1+3+9) que, por avatares de la vida, habrían propagado la infección a otras 3 (es fácil contar: 1+3+9+27). Matemáticamente, esto se conoce como progresión geométrica o, como se repite en los medios estos días, crecimiento exponencial. En epidemiología, ese número 3 se conoce como ritmo (o factor) reproductivo básico, R0, y representa el número medio de contagios propagados por cada persona contagiada. Este número tiene que ser mayor que 1 para que haya epidemia y, como parece natural, cuanto mayor es, más explosiva será la epidemia. Por poner unos ejemplos, el sarampión tiene un valor R0 entre 12 y 18, y el ébola y la gripe común entre 2 y 3. Con R0 no somos capaces de medir cómo de letal es un virus, sólo cómo de infeccioso ha sido en una cierta población. A partir de los datos de China, se observa que SARS-CoV-2 tiene un factor R0 estimado en 2,68 (aunque sospechamos que, en el caso de Italia o España, R0 podría ser mayor).
Las medidas de higiene y distanciamiento social que sufrimos en estos días permiten hacer decrecer R0 y, por tanto, mitigan el impacto de la propagación de SARS-CoV-2. Para cuantificar este impacto, proponemos utilizar un modelo matemático (y sus variantes) ya existente propuesto por el escocés Anderson Gray McKendrick en el año 1926, conocido como modelo SIR de epidemias. Con los términos SIR se hace énfasis sobre los tres estados de un individuo ante la enfermedad – susceptible (sano), infectado (infeccioso con capacidad para contagiar a otros) y removido (recuperado e inmune a nuevas infecciones, o fallecido) –, así como su evolución S -> I -> R en el tiempo. Los estados dan lugar a tres compartimentos – o subpoblaciones de individuos susceptibles, infectados y removidos – que permiten clasificar a los individuos de la población en cada instante de tiempo.
En términos del modelo SIR, la propagación de SARS-CoV-2 está vinculada al sistema de ecuaciones diferenciales para las proporciones s(t) de susceptibles, i(t) de infectados y r(t) de removidos respecto al tamaño N de la población (que se asume constante) dado por
donde β es la tasa de infección y α es la tasa de recuperación, en el supuesto de las proporciones iniciales s(0)= s0 >0, i(0)=1- s0 >0 y r(0)=0. En lenguaje cotidiano, la primera ecuación nos dice que la velocidad con la que decrece el número de susceptibles es proporcional al producto s(t) i(t), donde este producto se puede interpretar como la probabilidad de que una persona susceptible se encuentre con una infectada y el parámetro β mide la probabilidad de que el contagio sea exitoso. Es interesante entender que β tiene tanto que ver con el número promedio de “encuentros” entre personas susceptibles e infectadas, como con el resultado de esa infección. Como discutiremos más adelante, esto tiene implicaciones en las políticas de aislamiento y de higiene.
Una sencilla interpretación de los signos de las derivadas de s(t), i(t) y r(t), garantiza que la proporción de individuos susceptibles disminuirá (s(t)≤ s0) hacia su valor final s∞= lim t→∞ s(t) y la proporción de removidos se incrementará hacia un valor final r∞= lim t→∞ r(t) mientras que, en ambos casos, existan individuos infectados. Por el contrario, la proporción de infectados aumentará si βs(t)>α y disminuirá si βs(t)<α.
La principal propiedad del modelo SIR, aplicado a SARS-CoV-2 o a cualquier otro patógeno, es que la propagación de la enfermedad termina con el paso del tiempo (es decir, la enfermedad es no endémica) ya que
Sin embargo, hay que distinguir dos posibles comportamientos hasta que se produzca la extinción de la enfermedad dependiendo del factor reproductivo básico, que en el modelo SIR se expresa como R0=β⁄α:
– Cuando R0 < 1 (en promedio, un individuo infectado se recupera antes de transmitir la enfermedad), la relación s(t)≤1<1⁄R0 garantiza que la proporción de infectados disminuye desde el primer momento (i(t)≤1-s0) y la enfermedad desaparece con rapidez. En tal caso, la máxima proporción de infectados durante un episodio de la enfermedad se observa en el instante inicial, imax=1-s0.
– Cuando R0 > 1 (en promedio, un individuo infectado transmite la enfermedad antes de recuperarse), la proporción de infectados podría decrecer desde el primer momento (i(t)≤1-s0) si s0 < 1/R0, mientras que podría aumentar inicialmente hasta la máxima proporción
y luego decrecer hasta la extinción cuando s0 > 1/R0. En este segundo caso, tiene sentido hablar de epidemia y el pico de la infección se alcanza cuando la proporción de susceptibles coincide con el umbral crítico α/β, es decir, en el instante de tiempo tmax > 0 que verifica s(tmax) = 1/R0. Como mencionamos con anterioridad, el coronavirus SARS-CoV-2 tiene un valor de R0 próximo a 2,68, por lo que si toda la población fuese susceptible al virus (ésto no sabemos si es así a día de hoy), el virus podría infectar simultáneamente a casi un cuarto de la población si no aplicamos ninguna medida de precaución o control.
La magnitud de imax – pequeña o grande – es fundamental para determinar si los recursos sanitarios son suficientes o no ante la propagación de SARS-CoV-2. Para ello, basta traducir la capacidad del sistema sanitario en términos de un número i* que refleje sus limitaciones (por ejemplo, en términos de la proporción de camas hospitalarias en UCI disponibles para atender a una población de individuos), y concluir que los recursos son suficientes si se tiene imax ≤ i* o, por el contrario, son insuficientes cuando imax > i*.
¿Qué hacer si se prevé que los recursos sanitarios no serán suficientes?
Para entender cómo podemos revertir una situación de alarma, imax > i*, en otra aceptable, imax ≤ i*, es importante hablar de dos conceptos y la relación entre ellos:
- La velocidad exponencial de crecimiento
- Las medidas de contingencia
Para complementar nuestros comentarios sobre R0 y la noción de velocidad exponencial de crecimiento de una epidemia, nos fijamos en la proporción j(t) = i(t) + r(t) de individuos afectados por la enfermedad hasta el instante t (si se estuviesen realizando tests masivamente en la población, esta proporción debería coincidir con los datos que aparecen en los medios asociada a los “casos confirmados”); a partir de esta proporción, podemos estimar el número acumulado de fallecidos, dado por ρNj(t), donde ρ es el índice de letalidad de la enfermedad. En concreto, el valor ρ=0,023 estimado en China refleja que el porcentaje de fallecidos entre los afectados por SARS-CoV-2 es el 2,3%. Matemáticamente, se puede encontrar una expresión explícita para la fracción de afectados:
que muestra que la proporción j(t) es inversamente proporcional a e–βt, de manera que el número acumulado de afectados Nj(t) se incrementará a la misma velocidad que el valor de e–βt decrezca cuando el tiempo t se incremente.
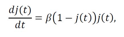
Como j(t) es una función creciente del tiempo y sus valores mínimo y máximo son 1-s0 (en el instante de aparición del patógeno) y 1-s∞ (en el instante de extinción), con 0 < 1-s0 < 1-s∞ ≤ 1 , su crecimiento no es siempre del mismo tipo. En concreto, existirá un intervalo de tiempo donde la velocidad del crecimiento de j(t) aumenta hasta alcanzar su valor máximo. Para determinar ese intervalo, traducimos la velocidad de crecimiento de j(t) en términos de su derivada
y determinamos su valor máximo como función de j(t), dentro del rango 1-s0 ≤ j(t) ≤ 1 . Desde la Figura 2 es sencillo llegar a la conclusión de que la máxima velocidad de crecimiento se alcanzará cuando j(t) = 1/2 y lo habrá hecho en un instante de tiempo antes del cual la velocidad de crecimiento crece hasta su valor máximo β/4 y, después del cual, la velocidad comienza a decrecer progresivamente.
Figura 2: La velocidad de crecimiento de j(t) (es decir, dj(t)/dt) como función de j(t).
Desde lo anterior, es claro que la curva del número acumulado de afectados por SARS-CoV-2 no se suavizará hasta que el 50% de la población no se haya visto afectada por la epidemia, siempre que la epidemia no se haya extinguido antes.
En el supuesto de que SARS-CoV-2 siga propagándose, ¿cómo podemos suavizar la curva del número acumulado de afectados? La respuesta se encuentra entre nuestras observaciones anteriores:
Minimizando el valor máximo β/4 de la velocidad de crecimiento.
Eso significa “disminuir la tasa de contacto entre individuos” para hacer posible disminuir la tasa de transmisión β, en el mismo sentido que el factor reproductivo básico R0. En este punto, toman sentido las medidas de distanciamiento social, así como medidas profilácticas (uso de guantes, mascarillas, lavado de manos) dictadas por los Gobiernos de los países afectados por SARS-CoV-2.
Pongamos un ejemplo para poner de manifiesto las repercusiones de una medida de contingencia, como el distanciamiento forzoso de los ciudadanos, ante la enfermedad Covid-19 asumiendo que el valor R0 = 2,68 del factor reproductivo – publicado en la revista científica Lancet– es correcto; en ese caso, la tasa de contagio estimada es β = 0,19 días -1 y el tiempo medio de transmisión es, aproximadamente, 1/β= 5,26 días. Tomemos cuatro escenarios:
l Escenario 1: Sin medidas de contingencia. Representa la propagación de SARS-CoV-2 sin medidas de control, es decir, β = 0,19 días -1 y R0 = 2,68.
l Escenario 2: Medidas de contingencia leves. Se ponen en práctica medidas de control de baja intensidad (β’ = 90% β) que conducen a R0 = 2,39.
l Escenario 3: Medidas de contingencia moderadas. Se ponen en práctica medidas de control de intensidad media (β»= 80% β) que conducen a R0 = 2,13.
l Escenario 4: Medidas de contingencia severas. Se ponen en práctica medidas de control de alta intensidad (β»’= 50% β)) que conducen a R0 = 1,33.
Figura 3: Variación de la proporción de infectados i(t) en función de la intensidad de las medidas de contingencia.
Figura 4: Variación de la proporción de individuos afectados j(t) en función de la intensidad de las medidas de contingencia.
Figura 5: Tiempo transcurrido hasta alcanzar el pico de infección tmax y proporción máxima de individuos simultáneamente infectados imax en función de la intensidad de las medidas de contingencia.
Observando detenidamente las Figuras 3 y 5, es claro que el pico de infección, en términos de la máxima proporción imax de infectados, disminuye a la vez que el instante tmax de ocurrencia del pico de infección se incrementa cuando se ejecutan medidas de control más severas; en tal caso, una adecuada especificación del umbral i* de capacidad límite de los recursos sanitarios permitirá definir medidas de contingencia concretas, sin que resulten ser excesivas para los ciudadanos. El incremento del número de días desde el inicio de los contagios hasta alcanzar el pico de infección también permite dar cabida al desarrollo de tratamientos paliativos (antivirales) y acercarnos a la fecha en la que una vacuna pueda estar disponible y ayude a poner fin definitivamente a la epidemia.
Además, la imposición de medidas de contingencia más restrictivas hace que la franja [1-s0,1-s∞] de variación de la proporción de individuos afectados j(t) en la Figura 4 se contraiga, al decrecer su valor límite 1-s∞, lo cual permitirá disminuir el impacto de la enfermedad, medido en términos del número de individuos que se verán afectados.
Es importante observar que la tasa de recuperación α se ha mantenido constante en el ejemplo, reflejando que no existe tratamiento específico o vacuna que permite mejorar el tiempo medio de recuperación. Por ello, todos los esfuerzos de lucha frente a SARS-CoV-2 están orientados hacia la disminución de la tasa de contagio β.
El modelo y sus limitaciones
No queremos engañar al lector: el modelo SIR es un modelo inicial – la comunidad científica anglosajona usa el término toy model para referirse a un modelo de partida que progresivamente es mejorado – y nuestro anterior ejemplo es ideal. Con seguridad, ambos estarán muy alejados de una realidad que, por ahora y hasta que la pandemia de SARS-CoV-2 se estabilice, no conoceremos con detalle. En ese momento, las estimaciones de las tasas de contagio y de recuperación serán más precisas y el modelo se verá seriamente modificado por la necesidad o no de distinguir entre susceptibles, infectados-asintomáticos, infectados-sintomáticos, recuperados-infecciosos y recuperados (incluyendo a los fallecidos) si se confirman los diferentes indicios epidemiológicos en ese sentido. Incluso el modelo podría ser estructurado por edades y patologías previas para reflejar diferentes niveles de letalidad de la enfermedad, e incluso modificado cuando una vacuna efectiva sea conocida. Otros caminos no tan evidentes y que merecen ser explorados consistirían en asumir que los parámetros del modelo son cambiantes (debido a medidas políticas, al temor de los ciudadanos frente a las noticias, …). O, por poner otro ejemplo, la suposición de que el contagio es proporcional a s(t) i(t) debería modificarse para reflejar la compleja red social de contactos; en particular, se sabe que la mayoría de los ciudadanos se mueven en círculos de contactos pequeños, pero algunos individuos, llamados superpropagadores, son capaces de llevar la enfermedad de una ciudad a otra o, como en el caso de SARS-CoV-2, de un continente a otro.
No nos cabe ninguna duda de que, para conseguir un modelo predictivo suficientemente preciso para el estudio de SARS-CoV-2, será necesario realizar un esfuerzo multidisplicinar entre epidemiólogos, inmunólogos, neumólogos, bioestadísticos y matemáticos, entre otros. Desde el lado de las matemáticas y, en general, de todas las ramas de la ciencia, ya existen algunas iniciativas para desarrollar modelos más precisos que permitan evaluar cuantitativamente el impacto de estas medidas.
Hasta ese momento, los autores esperan haber convencido al lector – inclinado o no hacia las matemáticas- de la importancia de esforzarnos en hacer disminuir la tasa de contagio β, es decir, de respetar el consejo
¡Quédate en casa!
—
Mario Castro Ponce (Universidad Pontificia Comillas), Manuel de León (Instituto de Ciencias Matemáticas CSIC, Real Academia de Ciencias) y Antonio Gómez Corral (Universidad Complutense de Madrid)











Datos específicos muy interesantes y concretos. Ojalá el modelo siga enriqueciéndose, para identificar las acciones que tienen la mayor incidencia en un mejor pronóstico.
Gracias
Muy interesante el artículo, Mario. Ayuda mucho el poder ver con números el cambio entre quedarse en casa y salir a la calle.
Lamentablemente, como comentas, el modelo SIR se queda muy corto a la hora de modelar y predecir el futuro de esta epidemia ya que toma como hipótesis que no hay período de incubación, es decir, que alguien puede transmitir en cuanto está contagiado. Esto se sabe que no es cierto y de hecho la curva cambia radicalmente para un período de incubación de 2 días, mucho más para los 5,5 días que se calcula que es la media del período de incubación real. Sería muy interesante ver este mismo análisis pero usando este modelo SEIR.
Gracias!!
En nombre de los autores, agradezco a Carlos Rosety que haya comentado aquí la posibilidad de usar el modelo SEIR porque, desde el artículo de Wu, Leung y Leung (https://doi.org/10.1016/S0140-6736(20)30260-9) en la revista científica Lancet, el modelo SEIR está siendo tomado mayoritariamente por la comunidad científica internacional como una evolución del modelo SIR con mejores prestaciones.
A pesar de conocer este hecho, hemos elegido el modelo SIR para cumplir nuestro objetivo, que no es otro que explicar y dar sentido a los términos «pico de infección», «crecimiento exponencial» y «aplanar la curva», entre otros, que están en los medios, y hacerlo como respuesta a las preguntas de nuestros estudiantes, familiares y amigos, no todos con conocimientos avanzados de matemáticas. Y, lo que es más importante, hacerlo desde la interpretación de conceptos sencillos (por ejemplo, signos de derivadas, fórmulas explícitas) y no requiriendo del uso de métodos numéricos de resolución de ecuaciones diferenciales, como requeriría el modelo SEIR.
Aprovecho este comentario para volver a incidir sobre un hecho: la pandemia está en desarrollo y el uso de un «toy model» como el modelo SIR, con sus virtudes y limitaciones, es parte del proceso de aprendizaje frente a un enemigo desconocido.
en esta información esta muy interesante porque vemos como las matemáticas influyen en el ámbito de cada enfermedad así como el ejemplo que da en esta información , sobre el SARS-CoV-2 y esto vemos como podemos ver con la matemáticas para poder tener proporción de infectados,personas muertas o personas salvadas
abuenowe
interesante el hecho de como con las matemáticas las vemos en todos los ambitos en este caso en esta nueva enfermedad que se ha dado en el mundo, como nos ayuda dando el porcentaje o proporción de como es la cifra de infectados.
El este Modelo falta incluir la Radiación Solar, La Temperatura Promedio, La densidad población , Radiacion UV, Vientos, es decir parámetros o Geoindicadores de cada Región: Ya que definitivamente es un VIRUS ESTACIONAL.
El mensaje que se publica en este artículo es importante ya que, como se señala,
no podemos concebir la idea de que las matemáticas puedan ayudar en la enfermedad que
hoy nos está trayendo problemas, pensamos que es exclusivo de las ciencias de la salud,
pero en este escrito se puede notar que, a través de un modelo matemático, podemos ver
el comportamiento del virus al que nos enfrentamos. A diferencia de las enfermedades que
arrasaron con la población años antes, ahora se puede saber con precisión y rapidez de
qué se trata el virus y empezar a trabajar en una cura. Considero que eso es lo interesante
de las matemáticas y de cualquier ciencia, no son individuales, sino que se complementan
unas a otras y así hacen un cambio mayor que individualmente.
[…] España en 7 millones) son modelos probabilísticos inspirados por el modelo SIR que describimos en Las Matemáticas del Coronavirus Covid-19. Así, la intuición de Daniel Bernouilli acerca del valor de la teoría de probabilidades para […]
[…] nuestra entrada Las matemáticas del coronavirus Covid-19 presentamos el modelo SIR de epidemias como un modelo sencillo para dar sentido a los términos […]
Los felicito. Información de mucha calidad.
Las matemáticas son nuestro instrumento científico para saber ver con objetividad real las perspectivas de un futuro desconocido y este es una demostración. adelante mis estimados: Mario Castro, Manuel de León y Antonio Gómez.
[…] SIR Publicado por Matemáticas y sus fronteras el 15 abril, 2020 Comentarios (0) TweetEn entradas anteriores hemos hablado del modelo SIR y de su exitosa trayectoria desde sus orígenes. Por eso, no es de extrañar que un siglo después […]
Después de leer este articulo, echar parat de este tiempos muertos que estamos teniendo para intentar comprender las ecuaciones que componen el modelo, llego a conclusion q habiendo cabezas pensantes (made in spain) capaces de realizar escenarios e hipotesis basadas en modelos ya probados, como este gobierno que nos representa no se pone las pilas…. y toma nota.
Enhorabuena Mario siempre tuviste una cabeza privilegiada.
El covid -19 es un virus con cosas que lo hacen muy pesado , es un virus muy contagioso que puede entrar por los ojos , la nariz y la boca , es un virus que lleva millones de victimas y también muertes . Se originó en China (Wuhan ) , la principal fuente de este virus es el murciélago.
Laura
El covid-19 es un virus muy pesado y también muy contagioso por lo cual lleva millones de victimas, muertes y recuperaciones, el coronavirus es un virus originado en China ( Wuhan ) . La principal fuente de este virus es la introducción del murciélago al cuerpo humano .
Laura
Mi nombre es Alma Marcela Gozo save lico
[…] descendencia de un individuo en el proceso de Galton-Watson y el factor reproductivo básico R0 de los modelos epidémicos, como puede observar el lector comparando esta entrada con otras entradas recientes sobre las […]
Soy profesor de matemáticas en 1º de bachillerato. Me gustaría plantearles a mis alumnos un ejercicio a su nivel sobre el COVID19, en lo que se refiere a la progresión geométrica, según el articulo de Razon 3, o crecimiento exponencial en los primeros días de la pandemia. El artículo viene a decir que una persona infecta a 3, produciéndose la progresión geométrica 1,3,9,27,81…., es decir que el número de infectados se triplica de un término al siguiente de la progresión. Pero mi pregunta es ¿Cúanto tiempo ha de pasar para que se triplique?. Si fuese un día, después de 30 días habría 100 billones de infectados!. Por tanto mi pregunta es, ¿Cúanto tiempo pasa para pasar de un término al siguiente en la progresión geométrica?
Buenas noches, disculpen el abuso, necesito resolver este ejercicio para la tareas de mi hijo pero no se como
A)F(x)=x^2+2x-2
b)F(x)=(3/4)^x
c) Grafique la cantidad de posibles casos de covid-19 y haga un estudio de la curva.
Yo se que este sitio es informativo pero necesito con urgencia resolverlo. Muchas gracias…
Saludos desde Venezuela.
Excelente información del modelo SIR
Las matemáticas del coronavirus Covid-19
Excelente artículo que muestra las bases del problema. Sirve para entender la importancia del aislamiento social, el posible colapso del sistema de salud, la necesidad de ahondar en modelos estadísticos. Habría que complementar, sobre los efectos adversos de la cuarentena sobre la salud para complementar este valioso informe.
[…] ese paralelismo en dos de nuestras recientes entradas. En concreto, el modelo SIR en la entrada Las matemáticas del coronavirus Covid-19 es construido en el contexto determinístico, mientras que nuestros comentarios en la entrada Las […]
Excelente iniciativa la de publicar información como esta. Muchas gracias por el trabajo.
Me atrevería a sugerir un cambio en el título pues el coronavirus no se llama covid-19. Parece un asunto menor pero creo que no lo es y puede crear confusión en los ciudadanos.
[…] epidemia y ayudar a su control son muy variadas. Hemos comentado en este blog sobre modelos como el modelo SIR y sus variantes, o aquellos donde se usan cadenas de Markov. En ellos se mezclan herramientas […]
Me parece muy acertado este tipo de información, pués permite fundamentar el proceso o fenómeno actual que nos afecta a todos: COVID19
Me parece interesante, es una aplicación de las matemáticas, en este caso para la salud.
El coronavirus COVID-19 tiene un crecimiento exponencial que depende del
numero de infectados y de los días transcurridos según el siguiente modelo
matemático.
Excelente literatura
EXCELENTE INFORMACION
Está súper interesante ésta lectura, ya que nos abre los.ojos y no hace hacer conciencia sobre el porque del aislamiento y saber porque y dejar de juzgar literalmente sin saber que es lo que realmente es , afecta y es
[…] estaba basada en usar los términos “susceptible”, “infectado” y “eliminado” empleados en el modelo SIR de epidemias que aluden a las personas sanas, colonizadas con el patógeno –y, por tanto, capaces de […]
nyc post by admin Apkbanker.comm
Stream India new straming application.
Thanks for wonderful info
To Know More
Click herev: https://www.su-services.com/2022/12/How-To-Grow-Facebook-Page-Organically.html
nice post Abbasi TV APK
Nice post FF Gangster 675 panel New andriod application.
We have a large number of team members who work on tambayann.me that’s why you will able to watch your Pinoy tambayan tv show on time.
[…] El artículo en el blog de Madrimasd, titulado "Matemáticas en tiempos de coronavirus", destaca el papel fundamental de las matemáticas en la comprensión y modelización de la propagación de enfermedades, como la pandemia de COVID-19. El autor subraya la importancia del modelado matemático para predecir el curso de la pandemia, tomar decisiones políticas adecuadas y controlar la propagación del virus. Además, el artículo menciona cómo las matemáticas también pueden ayudar a analizar el impacto económico y social de la pandemia. […]
Estas enfermedades durarán hasta el día del Juicio. La humanidad encontrará una vacuna para una enfermedad, pero una nueva enfermedad saldrá y así sucesivamente..
Amazing Blog Post Also, check https://apktrue.net/ae-injector-apk/
cool site desi cinema
Are you a Garena FREE FIRE lover? If yes then download the Shadow Team Injector on your gaming Androids and unlock all the latest features free of cost.
If you want to get the best plumber services for your home in London Croydon then Vision our website https://emergencyplumbercroydonlondon.co.uk/
best gaming application for all the gaming lovers.
Download TIKTOK18 top trending application all over the world.
[…] estaba basada en usar los términos “susceptible”, “infectado” y “eliminado” empleados en el modelo SIR de epidemias que aluden a las personas sanas, colonizadas con el patógeno –y, por tanto, capaces de […]