![]()
125 años del nacimiento de Srinivasa Ramanujan
El próximo 22 de Diciembre de 2012 se cumplirá el centésimo vigésimo quinto aniversario del nacimiento de Srinivasa Ramanujan (1887-1920), motivo por el que se han organizado congresos (Universidades de Florida (EEUU) y Mysore (India)) y publicaciones (Notices of the AMS) que muestran el impacto creciente de su obra en las matemáticas que se han creado desde la conmemoración de su centenario, hace ahora veinticinco años.
Tratándose de Ramanujan cabe preguntarse si el número de esa efemérides, 125, hubiera tenido para él algún significado especial, aparte de que 125 sea igual a cinco elevado al cubo, por lo que si lo escribiésemos en base 5 obtendríamos 1000 que es una cifra mucho más redonda e imponente. Pero recordemos, una vez más, su famosa anécdota en torno al número 1729, cuando su amigo, y protector, Godfrey Harold Hardy le visitó en el hospital y le contó que la matrícula del taxi que le había llevado era 1729, un entero un tanto anodino, a lo que Ramanujan, desde su lecho de enfermo, contestó: “¡No Hardy, no!… 1729 es un número muy interesante, ya que se trata del entero menor que puede ser expresado de dos maneras distintas como suma de dos cubos”: 1729 = 13 + 123 = 93 +103. Hardy, sorprendido, le preguntó a renglón seguido si conocía la respuesta para las cuartas potencias, a lo que Ramanujan contestó que no podía verla en ese momento, pero que tendría que ser un número muy grande. Con la ayuda de un ordenador, sabemos ahora que se trata de 635318657 = 1344 + 134 = 1584 + 594, pero todos podemos ver en ese maravilloso ejemplo el inicio de unas preguntas y de una teoría fecunda que trascienden a la anécdota que las originó. Ilustra también la tendencia de Ramanujan de considerar los ejemplos especiales por delante de las construcciones más generales. Tanto en sus celebrados Cuadernos de Notas, como en su correspondencia con Hardy, se recrea en presentar casos particulares que resultan ser especialmente significativos, antes que describir el panorama más general que estaba subyacente.

El talento de Ramanujan tiene difícil parangón. La mayoría de los matemáticos poseemos una cierta intuición geométrica, pero la intuición aritmética, aquella que permite detectar las cancelaciones ocultas y los patrones y simetrías en series numéricas, es rara avis, y sus poseedores, como Euler y Ramanujan, nos maravillarán siempre con sus fórmulas, identidades y cálculos, tan sorprendentes y fascinantes ahora, como lo fueron setenta y cinco o cientos de años atrás. Ramanujan poseía una potente intuición algebraica y combinatoria, y unas habilidades de manipulación de series, algoritmos, fracciones continuas y todo eso, muy por encima de cualquier otro matemático conocido. Durante los cinco años que estuvo en Cambridge, en tiempos de la primera guerra mundial, publicó veintiún artículos de investigación, cinco de los cuales fueron en colaboración con Hardy. Las referencias siguientes son una buena base de partida para quienes deseen profundizar en su obra: Collected Papers of S. Ramanujan, AMS.ISBN 0-8218-2076-1; S. Ramanujan (1957): Notebooks, Tata Institute; S. Ramanujan (1988): The Lost Notebook; and “Ramanujan: Letters and Commentary” by Bruce Berndt and Robert A. Rankin (AMS and London Math. Society).
Las vicisitudes de su existencia le han envuelto siempre con un cierto halo de romanticismo. El mismo Hardy escribió que haber conocido a Ramanujan era “el capítulo romántico de su vida”y ese mismo adjetivo ha sido usado por quienes han escrito su biografía, o diversas novelas y obras teatrales basadas en ella. Un ejemplo es la obra de Robert Kanigel (1991) “The man who knew infinity: a life of the genius Ramanujan»; otro más reciente es “The indian clerk” (traducida al castellano por “El contable hindú”) de David Leavitt. Abel y Galois son otras figuras del Olimpo matemático que comparten romanticismo con Ramanujan: como él fueron también genios precoces, incomprendidos en sus comienzos y fallecieron en plena juventud, por lo que siempre quedará la duda de cuál hubiese sido su legado de haber disfrutado de una vida más larga, o una existencia más acomodada. Ahora es muy fácil encontrar en lnternet una amplia información sobre la vida de Ramanujan: sus origénes humildes en Kumbakonam, cerca de Madrás; la personalidad un tanto dominadora de su madre, Komalatammal; sus problemas en la universidad de Madrás, donde perdió sus becas por descuidar las asignaturas que no eran de Matemáticas; sus manuscritos con teoremas y fórmulas maravillosas que finalmente supo apreciar Hardy y que le valió la invitación para viajar a Cambridge; el supuesto sueño de su madre en el que la diosa Namagiri de Namakkal le ordenó no interponerse en el camino de su hijo permitiéndole viajar a Inglaterra; sus años en Cambridge, o su enfermedad y retorno a la India.

Le debo a un magnífico profesor que tuve en el bachillerato mis primeros contactos con la biografía y la personalidad de Ramanujan. Luego, ya durante mis estudios de doctorado en Análisis Armónico, en los que los teoremas de Hardy y Littlewood, los dos colaboradores de Ramanujan en Cambridge, desempeñan un papel fundamental, me familiaricé con el magnífico “Método del Círculo” de Hardy-Ramanujan y Littlewood, que los dos primeros introdujeron para obtener su fórmula de las particiones. El método del círculo forma ya parte de mi propia obra matemática, y lo he usado para entender las propiedades de series trigonométricas interesantes y demostrar el carácter fractal de sus gráficas. Con él empecé a disfrutar de las ideas de Ramanujan y de sus resultados en Teoría de Números, tales como el que da el promedio de divisores primos de un número natural. Pero ha sido mucho después, y a medida que mi horizonte matemático se ha ido ampliando, cuando he podido apreciar toda la originalidad y profundidad de la obra de Ramanujan y la visión modular, tan adelantada a su tiempo, que supo desarrollar.
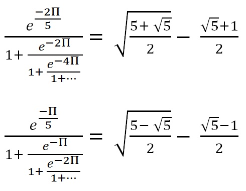
Para terminar esta breve reseña, valgan las siguientes fórmulas que Ramanujan envió a Cambridge en su manuscrito original, junto con los comentarios que motivaron entonces:
Hardy: “Estas fórmulas me derrotaron completamente. Yo no había visto antes nada como esto. Una simple mirada resulta suficiente para darse cuenta de que solamente las podría haber escrito un matemático de primera clase. Deben ser verdad, porque nadie puede tener la imaginación suficiente para inventárselas”. “¿De dónde vienen estas fórmulas, y por qué son verdaderas?”
__________
Antonio Córdoba es Catedrático de Análisis Matemático de la UAM e investigador del ICMAT.


[…] los comentarios 1 meneos 125 años del nacimiento de Srinivasa Ramanujan http://www.madrimasd.org/blogs/matematicas/2012/12/12/135304 por Autch hace […]
Diria que en el encabezamiento del articulo hay un error: Ramanujan nació un 22 de diciembre.
Por lo demás, un buen artículo.
Gracias
Hola Antonio,
Podrías indicarme algún libro /documento /web/.. donde iniciarse al análisis armónico.
Algo apto para una persona sin formación matemática más allá del interés y la curiosidad por esta materia.
Muchas gracias.
Un saludo, Toño.
[…] El próximo 22 de Diciembre de 2012 se cumplirá el centésimo vigésimo quinto aniversario del nacimiento de Srinivasa Ramanujan (1887-1920), motivo por el que se han organizado congresos (Universidades de Florida (EEUU) y Mysore (India)) y publicaciones (Notices of the AMS) que muestran el impacto creciente de su obra en las matemáticas que se han creado desde la conmemoración de su centenario, hace ahora veinticinco años. […]
Curiosamente hoy, un día después del 12.12.12 es
12.12.12 + 1 = 1729
🙂
[…] Matemáticas y sus fronteras – […]
[…] Matemáticas y sus fronteras – […]