![]()
Dos hombres y unas ecuaciones: el hombre de las matemáticas
Continuamos con la historia del electromagnetismo que iniciamos con Michael Faraday con la del hombre que descubrió las ecuaciones que lo rigen; sin duda alguna, una de las obras de arte y ciencia más excelsas de la historia humana.

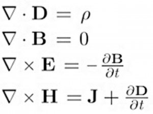
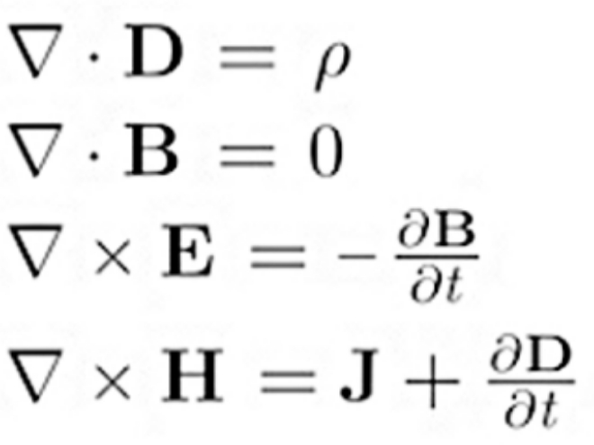
Las ecuaciones de Maxwell demostraron que la electricidad, el magnetismo y la luz son manifestaciones del mismo fenómeno: el campo electromagnético. Son por tanto ecuaciones universales que cambiaron nuestra visión del universo y abrieron ventanas insospechadas hasta el momento.
Esta es la gran obra de Maxwell, A Dynamical Theory of the Electromagnetic Field, publicada en 1865 y en la que demuestra que los campos magnéticos y eléctricos viajan por el espacio como ondas que se mueven a la velocidad de la luz, la cuál es a su vez una onda. Maxwell usó para escribir sus (veinte) ecuaciones los cuaternios inventados por Sir William Rowan Hamilton (del que hablaremos en una entrada próxima). Posteriormente se reescribieron por otros científicos de maneras mas simples y mas compactas (incluso utilizando los conceptos de la geometreía diferencial).
Otra de las grandes contribuciones de Maxwell fue a la teoría cinética de los gases, desarrollando las llamadas distribuciones de Maxwell–Boltzmann. Y, como no, su demostración de que los anillos de Sarturno no podían ser sólidos.
Pero si nos queremos centrar de nuevo en sus contribuciones a la luz y a la visión, digamos que Maxwell presentó la primera fotografía perdurable en color, haciendo uso de una combinación adecuada de tres negativos con azul, rojo y verde. Maxwell encargó al fotógrafo Thomas Sutton fotografiar una cinta tres veces, cada vez con un filtro de color distinto; las tres imágenes fueron trasladadas a cristales y proyectadas en una pantalla con tres proyectores, cada uno equipado con el mismo filtro de color original. ¡Y ahí surgió el color de nuevo!

A continuación daremos algunas pinceladas biográficas sobre este genio del siglo XIX que abrió las puertas al desarrollo espectacular de la física en el XX.
James Clerk Maxwell (1831-1879) fue un matemático escocés, nacido en Ediburgo, de familia acomodada y noble. Fue un joven precoz, un niño prodigio. Su padre da cuenta en una carta a su cuñada de su curiosidad por investigarlo todo. Su madre murió cuando tenía ocho años y su eduación corrió a cargo de un tutor privado, pero sin éxito. Sufrió lo que hoy llamaríamos acoso escolar cuando comenzó allí sus estudios, acabando su aislamiento cuando se juntó con Lewis Campbell y Peter Guthrie Tait, que fueron mas tarde eminentes personajes. A los 16 años comenzó sus estudios en la Universidad de Edinburgo, aunque siguió a la vez estudios por su cuenta.
Se trasladó mas tarde a Cambridge, ya como un matemático eminente, siendo pronto reasignado al Trinity. Ahí fue elegido miembro del grupo de élite llamado Los Apóstoles de Cambridge (al que pronto le dedicaremos una entrada).
Se traslada a King’s College, en Londres, donde probablemente se desarrolló la etapa mas fructífera de su vida. Allí entró en contacto con Michael Faraday en la Royal Society, y aunque la diferencia de edad era muy grande, se profesaron un enorme respeto mutuo. Es en esa época cuando Maxwell consigue introducir las matemáticas en el trabajo de Faraday y obtiene sus ecuaciones.
—
Manuel de León (CSIC, Fundador del ICMAT, Real Academia de Ciencias, Real Academia Canaria de Ciencias, ICSU)

[…] TweetEsta entrada está dedicada a la figura de William R. Hamilton, el inventor de los cuaternios que usó Maxwell para escribir sus ecuaciones y que hizo además grandes contribuciones a la Óptica. Puente de […]